一种状态变量相关的非饱和接触面弹塑性模型及验证

    A state-dependent elastoplastic model for unsaturated interfaces and its verification

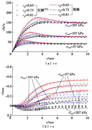
    • 摘要: 为研究非饱和土与结构的接触问题,基于状态相关概念和临界状态理论,以净法向应力和吸力为应力状态变量,在考虑吸力对屈服函数、流动法则和硬化定律等影响下,建立了非饱和土-结构接触面的弹塑性模型。通过砂土-钢和砂土-土工织物两种接触面的剪切试验结果,对模型的可靠性进行了验证。结果表明:该模型可描述不同初始状态的土-结构接触面力学行为,还能预测不同边界条件下(常法压、常刚度和常体积)接触面的剪应力、法向位移和应力路径变化。在此基础上,对不同吸力下的非饱和粉土-钢和风化花岗岩土(CDG)-混凝土接触面的剪切结果进行预测,发现随着吸力的增大,接触面峰值强度增大,应变软化和剪胀特征愈加明显,且由剪缩到剪胀转换的相变点所对应剪切位移减小。与已有模型相比,该模型参数更容易确定,计算的峰值强度和临界应力更接近实测值,且能反映峰值强度对应剪切位移随吸力减小的趋势,说明该模型能更好地考虑吸力对接触面峰值强度、临界状态和硬化特征的影响。

       

      Abstract: To study the contact problem between unsaturated soil and structure, based on the state-dependent concept and the critical state theory, by considering the influences of suction on the yield function, flow rule and hardening law and so on, an elastoplastic interface model is established with the net normal stress and the suction serving as stress state variables. The reliability of the model is demonstrated through the shearing tests on sand-steel and sand-geotextile interface. The results show that the proposed model can describe the mechanical behaviors of sand-structure interfaces under different initial states, and can predict the variations of shear stress, normal displacement and stress path of interface subjected to different boundary conditions (i.e., constant normal load, constant normal stiffness and constant volume condition) as well. Thereafter, the shearing test results of unsaturated silt-steel and completely decomposed granite (CDG)-cement interface under different suctions are predicted, finding that with the increase of suction, the shear strength of interfaces increases, the strain softening and dilatancy behaviors become more significant, and the shear displacement corresponding to phase transformation point representing the transition from contraction to dilation decreases. Compared to those of the existing models, the parameters of the proposed model are easier to be calibrated, the calculated results are closer to the measured data, and the decreasing trend of the shear displacement corresponding to the peak strength with suction can be reflected, indicating that the model here captures the effects of suction on the peak strength, critical state and hardening behaviors of the interface better.

       

    /

    返回文章
    返回