大理岩短时蠕变–低周疲劳交替作用力学特性试验研究

    Experimental study on mechanical properties of marble under alternation between short-time creep and low-cycle fatigue

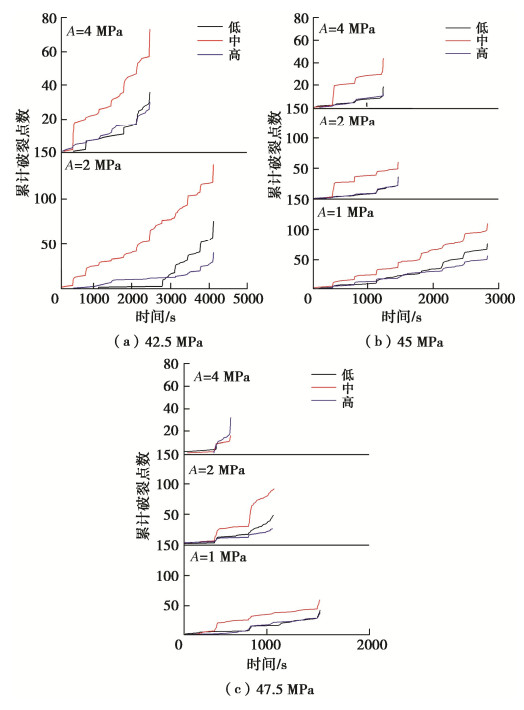
    • 摘要: 深部工程岩体除了受到应力调整引起的蠕变荷载外,在施工与运营期间会间断性的受到爆破、地震以及交通荷载等循环荷载作用,其对深部岩石的蠕变行为影响规律尚不明确。为探究深部岩石蠕变与疲劳交替作用力学特性,开展不同蠕变应力水平和不同疲劳幅值的短时蠕变与低周疲劳交替试验并同步进行声发射测试。试验结果表明:①蠕变与疲劳交替作用会加速岩石破坏,且破坏应变大于纯蠕变破坏应变;②各级蠕变与疲劳引起的应变增量和蠕变速率整体呈现出“V”型变化规律,各级疲劳加载后的蠕变速率大于疲劳前蠕变速率;③声发射振铃数在蠕变段分布较均衡,在疲劳段出现突增。当疲劳幅值小于等于2 MPa时,声发射b值变化规律为“上升—小幅波动—突降”,而当疲劳幅值增大至4 MPa时,声发射b值则表现为“下降—上升—下降”;④声发射破裂点与核磁扫描结果均表明裂隙演化规律为在横截面上由内向外发展,在长度方向由中部向两端延伸。岩石的破坏以剪切破坏为主,且疲劳幅值越小,破坏时岩石碎末越多。

       

      Abstract: The deep engineering rock mass is subjected to the creep loads caused by stress adjustment. At the same time, during construction and operation, it will be intermittently subjected to the cyclic loads such as blasting, earthquakes and traffic loads, and their influences on the creep behavior are not clear. To explore the mechanical properties of the deep rock under the alternation of short-time creep and low-cycle fatigue, the tests with different stress levels and different fatigue amplitudes are carried out, and the acoustic emission tests are carried out simultaneously. The test results show that: (1) The creep-fatigue interaction will significantly accelerate rock failure, and the failure strain is larger than that of pure creep failure strain. (2) The strain increment and creep rate caused by creep and fatigue at all stress levels show a "V" change law, and the creep rate after fatigue at all levels is not less than that before fatigue. (3) The acoustic emission ring counts are evenly distributed in the creep section, with a surge in the fatigue section. When the fatigue amplitude is less than or equal to 2 MPa, the variation law of b value is "rise - small fluctuation - sudden drop", and when the fatigue amplitude increases to 4 MPa, b value is "fall–rise–fall". (4) The acoustic emission failure point and nuclear magnetic scanning show that the fracture evolution law develops from inside to outside in the cross section and extends from the middle to both ends in length direction. The rock failure is mainly shear failure, and the smaller the fatigue amplitude, the more the rock powder.

       

    /

    返回文章
    返回