考虑颗粒级配和形态的颗粒柱坍塌特性离散元模拟

    Discrete element simulation of collapse characteristics of particle column considering gradation and shape

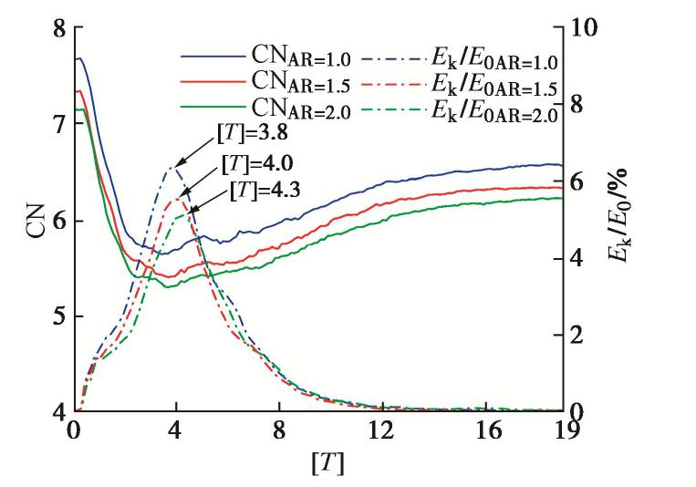
    • 摘要: 颗粒形态和级配情况等是影响碎屑颗粒流(如滑坡、泥石流、岩崩等)运动的重要因素。基于沃洛诺伊镶嵌原理的随机生成方法创建了不同长细比不同级配的多面体颗粒,引入势粒子算法用于考虑颗粒间的接触作用,根据室内试验确定了离散元接触模型的各项参数,对考虑级配和形态的颗粒柱坍塌特性开展数值试验,研究结果表明:①颗粒柱的归一化堆积高度随颗粒的长细比和中值粒径d50的减小而减小,归一化跑出距离则随其减小而增加。②堆积过程中不同工况的相对静止角α为61.49°~64.99°,且变化规律与归一化堆积高度变化一致。③不同工况的归一化能量耗散为27.1%~35.5%,且转动动能仅占平动动能的8.20%~9.05%。④归一化动能和颗粒配位数呈现负相关的关系,归一化动能达到峰值时颗粒配位数也达到最小值。⑤崩塌过程中强力链一般分布在滑动堆积体的中下部区域,形成力链传递的“拱效应”。中值粒径d50和长细比增大会减少强力链的数量,接触力传递的路径少而集中,从而限制颗粒在堆积过程中的运动。

       

      Abstract: Particle shape and gradation are the important factors affecting the movement of debris particle flows (such as landslides, debris flows, rock slides, etc.). The random generation method based on the Voronoi tessellation creates polyhedral particles with different aspect ratios and gradations. The potential particle algorithm is introduced to consider the contact effect between particles. The parameters of the contact model of discrete element are determined according to the indoor tests. For the item parameters, numerical experiments are carried out on the collapse characteristics of the particle column considering the gradation and morphology. The research results show that: (1) The normalized stacking height of the particle column decreases with the decrease of the aspect ratio and the median diameter (d50) of the particles, and the normalized run-out distance increases with the decrease. (2) The relative angle of repose under different working conditions during the accumulation process is in the range of 61.49°~64.99°, and the change rule is consistent with the change of the normalized accumulation height. (3) The normalized energy dissipation range under different working conditions is between 27.1%~35.5%, and the rotational kinetic energy only accounts for 8.20%~9.05% of the translational kinetic energy. (4) The normalized kinetic energy has a negative correlation with the particle coordination number, and the particle coordination number reaches the minimum when the normalized kinetic energy reaches its peak. (5) In the process of collapse, the strong chain is generally distributed in the middle and lower areas of the sliding accumulation body, forming the "arch effect" of the transmission of the force chain. The increase in the median particle size (d50) and the slenderness ratio will reduce the number of strong chains, and the paths of contact force transmission will be small and concentrated, thereby restricting the movement of particles during the accumulation process.

       

    /

    返回文章
    返回