三维真土压力盒的设计与应力参数的计算

    Design of three-dimensional true earth pressure sensor and calculation of stress parameters

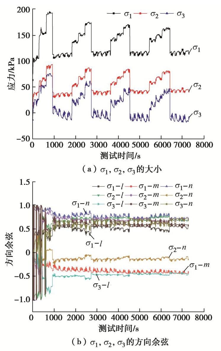
    • 摘要: 应力状态是评价土体变形和强度的基础,最大主应力及其方向是确定边坡、基坑等结构体滑裂面产生与发展过程的重要依据。为研究土体内部一点的真实三维应力状态,基于正应力与应力状态之间的计算关系,考虑测试过程中装置旋转引起的测试误差,设计了一种能够测定土中6个方向正应力和3个绕轴角度的三维土压力测试装置,即三维真土压力盒。该三维真土压力盒由1个高强度基座、6个微型土压力盒、1个孔压计和1个倾角传感器构成,可用于测定待测点6个方向的总应力和有效应力,进而确定该测点的三维总应力状态和有效应力状态。将研制的三维真土压力盒用于了某粉煤灰的一维加—卸载循环试验,并将测试结果与Boussinesq解的计算值进行了比较。同时,依据获取的三维应力状态计算了测点的主应力及其方向、毕肖普常数b、应力罗德角θ,并对各加载过程中应力状态的竖向力分量与竖向应变之间的关系进行了分析。结果表明:测试装置埋设和测试过程的角度旋转误差,会引起测试结果的误差,且这种误差随测试数值的变大而变大;一维加—卸载过程中土中的最大主应力方向与加载方向并不重合;随着加卸载循环次数的增加,各主应力大小及其方向逐渐稳定在一定范围,土的应力-应变关系也逐渐趋于稳定;采用三维真土压力盒的测试值确定的力学参数与土力学理论相符合,该装置对于土的强度问题研究具有技术基础作用。

       

      Abstract: The stress state is the basis for evaluating the deformation and strength of soil. The maximum principal stress and its direction are the important basis for determining the generation and development process of sliding surface of slopes, foundation pits and other structures. To study the real three-dimensional stress state of a point in the soil, based on the calculation relationship between the normal stress and the stress state and considering the test errors caused by the rotation of the device in the test process, a test device named three-dimensional true earth pressure sensor is designed to measure the normal stress in 6 directions and 3 angles around the axis in soil. The three-dimensional true earth pressure sensor is composed of a high-strength polyhedron base, 6 micro earth pressure cells, a micro pore water pressure cell, and a micro inclination sensor. It can determine the total stress and effective stress in 6 directions, and calculate the total stress state and effective stress state of soil. The three-dimensional true earth pressure sensor is used in the one-dimensional loading-unloading cycle of a fly ash, and the test results are compared with the theoretical values calculated by the Boussinesq method. Meanwhile, the 3 principal stresses and their directions, the Bishop constant (b), and the Lode's angle (θ) are calculated according to the obtained three-dimensional stress state, and the relationship between the vertical stress and the vertical strain in each loading process is analyzed. The results show that the rotation angles caused in the embedment and test processes will cause test errors, and these errors will increase with the increase of the test values. The direction of the maximum principal stress does not coincide with the loading direction in the one-dimensional loading-unloading process. With the increase of loading- unloading cycle times, the value and direction of the principal stress will gradually stabilize in a range, and the stress-strain relationship of soil also tends to be gentle. The mechanical parameters determined by the three-dimensional true earth pressure sensor can be consistent with the theory of soil mechanics, and the proposed device has a technical basis for the study of soil strength.

       

    /

    返回文章
    返回