高聚物注浆混凝土-粉土界面黏结试验研究

    Orthogonal tests on bond of concrete-silt interface with high polymer grouting

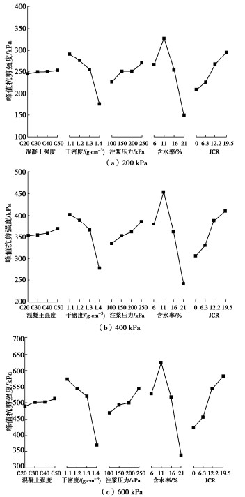
    • 摘要: 地下连续墙和周边土体的界面容易发生病害,而高聚物注浆是有效修复加固界面手段,为了研究高聚物注浆后的混凝土和粉土界面黏结性能,采用正交试验设计方法,使用团队自主设计制造的恒压注浆系统和自主研制的高聚物对混凝土-土界面进行渗透注浆,通过对注浆后的试件进行直剪试验,探究不同因素对于界面抗剪强度和界面强度参数等指标的影响规律。采用数字图像相关方法(DIC)分析直剪试验过程中界面剪切破坏演化过程。

       

      Abstract: The interface between the diaphragm wall and the surrounding soil is prone to diseases, and high polymer grouting is an effective means for repairing and reinforcing the interface. In order to study the bond properties of the concrete and silt interface after high polymer grouting, the design methods of orthogonal tests are employed, and a constant-pressure grouting system designed and manufactured by the author's team independently and a high polymer developed independently are used for infiltration grouting at the concrete-soil interface. Through the straight shear tests onf the specimens after grouting, the influences of different factors on the interfacial shear strength and strength parameters are investigated. The digital image correlation (DIC) is used to analyze the evolution of interfacial shear damage during the straight shear test.

       

    /

    返回文章
    返回