冻土离心模型试验机上冻结装置研制与性能测试

    Development and performance testing of centrifugal model test equipment for frozen soil

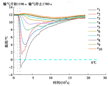
    • 摘要: 离心模型试验是解决大时间跨度下冻土工程问题的有效方法,但现有冻土离心模型试验装置制冷端只能起到控制温度边界功能,无法在土体内形成连续冻结墙。为模拟人工地层冻结过程中土体内管状冷源冻结过程,基于同济大学TJ-150岩土离心机,自主设计一套采用半导体制冷与可控液氮冻结的冻土离心试验装置。试验过程中,半导体制冷设备可实现对冻结墙边界温度的控制,液氮冻结装置能够实现对液氮的稳定存储和定点输送。基于此套试验装置开展了离心机微型孔压静力触探试验以探究冻融前后软土渗透系数变化规律试验,在15g离心超重力下检验了该装置的性能,并初步探究了通过离心机微型孔压静力触探装置测定软黏土冻融前后原位渗透系数差异的可行性。

       

      Abstract: The centrifugal model test is an effective method to solve the problem of frozen soil engineering in a long time span. But the refrigeration end of the existing centrifugal model test devices can only control the temperature boundary, and can not form a continuous freezing wall in the soil body. In order to simulate the freezing process of tubular cold source in soil during artificial formation freezing, a set of frozen soil centrifugal test equipment using semiconductor refrigeration and controlled liquid nitrogen freezing is independently designed based on the TJ-150 geotechnical centrifuge of Tongji University. Ouring the test process, the semiconductor refrigeration equipment can realize the control of the boundary temperature of the freezing wall, and the liquid nitrogen freezing devices can realize the stable storage and fixed point transportation of liquid nitrogen. Based on this set of test equipment, a centrifuge micro-pore pressure static penetration test is carried out to explore the change rules of permeability coefficient of soft soil before and after freeze-thaw. The performance of the devices is tested under 15g centrifugal super-gravity, and the feasibility of measuring the permeability coefficient of soft clay before and after freeze-thaw by using the centrifuge micro-pore pressure static penetration test devices is preliminarily explored.

       

    /

    返回文章
    返回