埋置移动荷载作用下三维黏弹性半空间的动力响应

    Dynamic response of a visco-elastic half-space subjected to buried moving loads

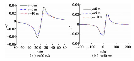
    • 摘要: 采用积分变换方法对埋置移动荷载作用下三维黏弹性半空间地基振动的衰减规律进行了理论研究。首先,基于理想弹性介质的动力Navier方程,利用Helmholtz分解定理及傅里叶变换方法,在直角坐标系中求得了变换域内弹性介质动力响应分量的表达式。结合相应的边界条件及连续条件,得到了埋置移动荷载作用下黏弹性半空间地基动力响应的积分形式解。当荷载埋深为零时,埋置移动荷载退化为地表移动荷载,对比发现退化解结果与已有结果吻合较好。最后,采用IFFT法对地基土体动力响应进行数值求解,分析了移动荷载埋深、速度等因素对地基振动的分布衰减规律以及频谱分布的影响。

       

      Abstract: The attenuation of the vibration of a three-dimensional visco-elastic half-space subjected to the embedded moving loads is investigated theoretically. By employing the Fourier integral transform method and the Helmholtz decomposition, the Navier equations for the ideal elastic medium are solved, and the dynamic components in the transformed domain are derived in the Cartesian coordinate. Combined with the boundary conditions and continuity conditions, the analytical solutions to the dynamic response of the viscoelastic half-space due to the embedded moving loads are obtained. When the depth of the moving loads is zero, the results obtained in this study are in good agreement with the published ones. By employing the IFFT method, some numerical examples are selected to discuss the influences of the depth, velocity and viscous damping of the soil on the propagation of the vibration and the amplitude spectra of the displacement.

       

    /

    返回文章
    返回