海上风电筒型基础沉贯阻力计算黏土强度研究

    Clay strength in calculation of penetration resistance of offshore wind bucket foundation

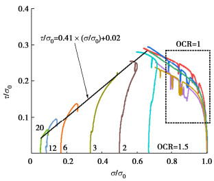
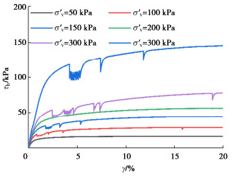
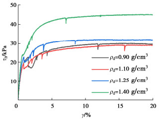
    • 摘要: 沉贯阻力的准确预测对筒型基础成功应用至关重要。单剪(DSS)试验测得的不排水抗剪强度su是沉贯安装设计中的关键土参数,DSS试验考虑了K0固结下土体的应力状态、主应力旋转以及实际工程平面应变状态,与吸力式筒型安装过程中土体的受荷状态相符。研究总结了黏土中筒型基础沉贯阻力计算方法,并分析了各种方法的特点。针对黏土强度取值问题,采用单剪仪对滨海土进行等体积单剪试验,探讨了干密度ρd、法向应力σv'及超固结比(OCR)对su的影响,并分析了su差异产生的原因。最后,提出了基于临界状态理论、强度指标、SHANSEP的3种预测su的计算方法。研究成果为黏土中筒型基础沉贯阻力计算时土体参数取值提供了依据。

       

      Abstract: The accurate prediction of penetration resistance is crucial for the successful application of bucket foundations. The undrained shear strength (su) obtained from the direct simple shear (DSS) tests is a key soil parameter in bucket installation design. The DSS tests consider the stress state of the soil under K0 consolidation, the rotation of principal stresses and the actual engineering plane strain state, which corresponds to the loading conditions of the soil during installation of suction bucket. This study summarizes the calculation methods for bucket penetration resistance in clay and analyzes the characteristics of various methods. To address the issue of determination of soil strength, the coastal soil is subjected to consolidated undrained triaxial shear tests using a single shear apparatus. The influences of dry density (ρd), effective normal stress (σv') and overconsolidation ratio (OCR) on su are explored, and the reasons for the differences in values of su are analyzed. Finally, three prediction methods for su based on the critical state theory, strength index and SHANSEP are proposed. The research findings provide a basis for determining soil parameters in calculation of foundations penetration resistance of bucket in clayey soils.

       

    /

    返回文章
    返回