适用于黏土砂土统一本构模型的状态参量

    State parameters applicable to unified model for clays and sands

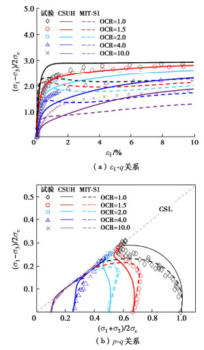
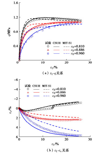
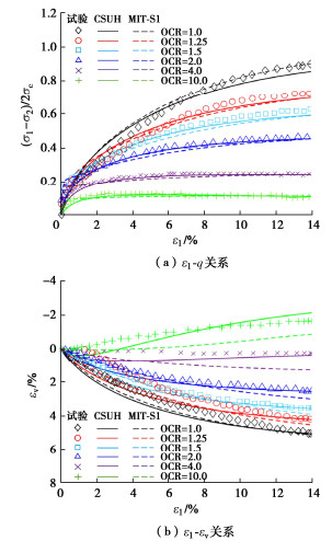
    • 摘要: 构建黏土砂土统一本构模型的关键在于状态参量。基于状态参量这一核心区别,对比剖析了MIT-S1和CSUH两个黏土和砂土统一本构模型。对比结果表明,MIT-S1模型状态参量不能合理作用于硬化参量,以LCC为参考线定义状态参量δp难以准确刻画砂土剪胀性,且黏土砂土的状态参量不统一;CSUH模型将黏土NCL拓展为砂土NCL,所定义的状态参量ξ能够动态统一地表示黏土和砂土不同密实状态量,准确刻画土的基本特性,并基于特征状态应力比Mc和潜在强度MY合理作用于硬化参量,在应力应变关系的描述上更简洁,有优势。同时对比两个模型黏土和砂土试验的预测结果,进一步验证了以ξ作为状态参量的CSUH模型在描述黏土砂土应力应变关系上的准确性。

       

      Abstract: The state parameter is the key of the unified constitutive model for clays and sands. Based on the state parameters, the MIT-S1 and CSUH unified constitutive models for clays and sands are compared and analyzed. Through comparison, the state parameter of the MIT-S1 model cannot be reasonably applied to the hardening parameters. It is difficult to accurately characterize the dilatancy of sand by using the LCC as the reference line to define the state parameter δp. Additionally, the state parameters are not unified. The CSUH model extends NCL of clays into that of sands, and the defined state parameter ξ can dynamically and unified represent different compactness states of clays and sands, accurately describe the basic properties of soils and act reasonably on the hardening parameter by Mc and MY. Therefore, the model is more concise and advantageous in describing the stress-strain relationship. By comparing the test data of clays and sands and the predicted results of the two unified models, it is further verified the accuracy of the CSUH model in describing the stress-strain relationship of clays and sands.

       

    /

    返回文章
    返回