高压实膨润土与孔隙溶液化学作用机制研究进展

    Research advances in chemical interaction mechanism between highly compacted bentonite and pore solution

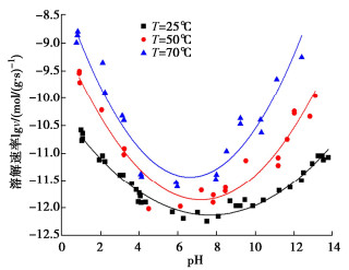
    • 摘要: 高压实膨润土作为高放废物深地质处置首选缓冲/回填材料,在处置库近场热-水-力-化多场耦合环境中必然会与孔隙溶液发生化学作用,使蒙脱石溶解甚至相变,导致工程屏障缓冲性能衰减失效。在全面阐述孔隙溶液化学作用对高压实膨润土缓冲性能影响规律的基础上,系统总结了高压实膨润土与孔隙溶液化学作用机制的最新研究成果。分析表明,层状蒙脱石溶解相变为架状矿物是导致膨润土比表面积、相对质量密度、持水性能、膨胀性能、防渗性能等发生衰减的关键因素。孔隙溶液对高压实膨润土的化学作用机制包括矿物化学相变和化学胶结作用。其中,矿物化学相变与孔隙溶液化学组成、pH、温度和活性催化离子有关,可分为同晶相变和溶解重结晶两种机制;化学胶结与膨润土干湿循环产生盐渍沉淀填充和硅铝酸盐胶凝物胶结作用密切相关。膨润土中矿物的溶解速率不仅与自身反应表面积、所受应力和溶解平衡有关,还与孔隙溶液的化学组成、pH、温度和活性催化离子等环境因素密切相关。针对膨润土内的反应体系,进一步明确化学反应参数、胶结作用影响和多场耦合反应模型仍是今后膨润土化学演化需要深入研究的重点方向。

       

      Abstract: The highly compacted bentonite, as the preferred buffer/backfill materials, is inevitably subjected to chemical erosion in the T-H-M-C environment of the high-level radioactive waste repositories, leading to dissolution or phase transition of smectite, and diminishing the buffer performance. The latest researches on the chemical mechanism are summarized on the basis of reviewing the effects of the solution on the buffer performance of the compacted bentonite. The analysis indicates that the dissolution or phase transformation of layered smectite into a framework mineral is the key factor leading to the attenuation of the specific surface area, density, water retention, swelling and permeation resistance of bentonite. The chemical interaction mechanisms include mineral phase transformation and chemical cementation. The phase transformation of minerals is influenced by chemical composition, pH, temperature and catalytic ions of the pore solution, and can be divided into isomorphous phase transformation and recrystallization. The chemical cementation associates with saline precipitate filling and the cementation of aluminosilicate gelation during wetting-drying cycles. The dissolution rate of minerals in bentonite is influenced by both the intrinsic factors like surface area and stress, and the extrinsic factors including pore solution. Further clarification of chemical reaction parameters, cementation effects and multi-field coupling reaction model within the bentonite reaction system remains the focus of further researches on the chemical evolution of bentonite in the future.

       

    /

    返回文章
    返回