一个简单的循环加载CSUH模型

    A simple cyclic loading CSUH model

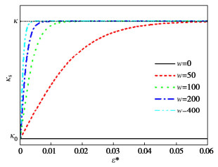
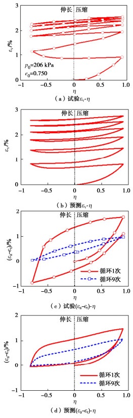
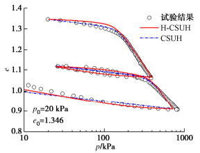
    • 摘要: 土在循环荷载作用下会表现出滞回特性。在黏土砂土统一硬化(CSUH)模型基本框架下,通过构建弹性滞回圈和提高低应力塑性刚度,建立了一个简单的考虑循环加载的H-CSUH模型。①通过引入反映初始卸载模量的参数κ0和反映模量变化速率的参数w,将e-ln(p+ps)空间中卸载线的弹性响应修改为非线性,并满足完全弹性滞回。②通过构建乘数ζ,建立了新的硬化方程Hh,进一步提高了模型在低应力下的塑性刚度。与已有模型相比,H-CSUH模型形式简洁,参数较少,且实现了对黏土和砂土在循环荷载作用下滞回特性的统一描述。应用模型对不同黏土和砂土的排水和不排水试验结果进行了预测,验证了模型的合理性。

       

      Abstract: Soil exhibits hysteresis characteristic under cyclic loading. Under the basic framework of the unified hardening model for clays and sands, a simple H-CSUH model considering cyclic loading is established by constructing elastic hysteresis loops and improving low stress plastic stiffness. The main works are as follows: (1) The elastic response of the unloading line in the e-ln(p+ps) space is modified to be nonlinear by introducing parameters κ0 and w, where κ0 is used to reflect the initial unloading modulus and w is used to reflect the modulus change rate. The modified elastic unloading and reloading lines exhibit complete elastic hysteresis behavior. (2) A new hardening equation, denoted as Hh, is established by constructing a multiplier ζ, which improves the plastic stiffness of the model under low stress. Compared with the existing models, the H-CSUH model has a simpler form and fewer parameters, and achieves a unified description of the hysteretic behavior of clays and sands under cyclic loading. The validity of the model is confirmed through comparisons of drained and undrained test results across various types of clays and sands.

       

    /

    返回文章
    返回