砂卵石地层盾构均匀磨损刀盘刀具设计方法研究

    Design method for uniform wear of shield cutterhead and cutters in sand–pebble strata

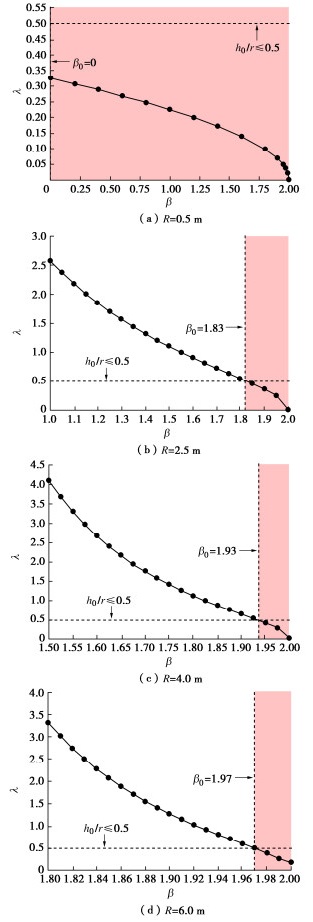
    • 摘要: 为解决砂卵石地层土压平衡盾构掘进中整盘刀具非均匀磨损问题,基于摩擦磨损原理,建立刀具磨损量计算方法,提出盾构整盘刀具均匀磨损理论及刀盘刀具设计方法。采用EDEM颗粒流数值软件,构建6.6 m砂卵石地层均匀磨损盾构掘进模型,验证了整盘刀具的均匀磨损性能。研究表明:①通过设计不同的刀盘线形,并在各轨迹半径上布置特定的刀具数量能够实现整盘刀具的均匀磨损;②刀盘线形及刀具数量与“环向布刀指数 \beta ”、“地层岩性指数n”有关。地层条件一定时, \beta 值是影响均匀磨损盾构刀盘刀具设计的关键因素,对于常规直径盾构(2.5 m≤R < 6 m),合理的 \beta 值范围为1.83~2。对于大型盾(R≥6 m), \beta =2,应设计平面刀盘,并在各轨迹上按照径向尺度的平方布设刀具数量;③均匀磨损方案下,整盘刀具磨损程度差异较小,外圈刀具磨损系数降低,最大不换刀连续掘进距离大幅增加。

       

      Abstract: To solve the problem of uneven wear of the whole shield cutters in the EPB shield tunneling process in sand–pebble strata, a method is established for calculating wear of cutters the based on the principle of friction and wear, and the a theories of uniform wear of shield cutters and the design method of cutterhead and cutters are proposed. The EDEM particle flow numerical software is used to establish a uniform wear shield tunneling model for the sand–pebble stratum 6.6 m in depth, and the uniform wear performance of the whole cutters is verified. The results show that: (1) The uniform wear of the whole cutters can be achieved by designing different cutterhead alignments and arranging a specific number of cutters on each trajectory radius. (2) The cutterhead alignment and the number of cutters are related to the "circumferential knife index β" and "formation lithology index n". In a specific stratum, the value of β is the key factor affecting the design of the shield cutterhead and cutters with uniform wear, and the reasonable range of value of β is 1.83~2 for the conventional shield (2.5 m≤R < 6 m). For large shield (R≥6 m), a flat cutterhead should be designed, and r2 cutters should be arranged on each trajectory. (3) Under the uniform wear scheme, the difference in the wear degree of the whole cutters is small, the tool wear coefficient of the outer ring of the cutterhead is greatly reduced, and the maximum continuous excavation distance without changing the cutters significantly increases.

       

    /

    返回文章
    返回