岩体交叉裂隙几何特征对溶质运移的影响

    Influences of geometric characteristics of intersecting fractures in rock mass on solute transport

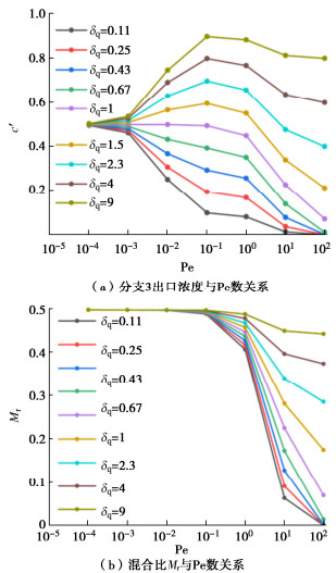
    • 摘要: 交叉裂隙溶质运移特征是岩体裂隙网络溶质运移的基础。对流与水动力弥散是非反应性溶质运移的主要控制机制,佩克莱数被用来评估两者在非反应性溶质运移过程中的占比影响。通过改变注入流体的流速,改变交叉裂隙的粗糙度、交叉角、开度比等几何特征,采用有限元数值分析获得了佩克莱数与交叉裂隙几何特征对溶质运移特性的影响规律。研究表明:随流体流速增大,溶质运移由弥散主导转向对流主导,实际工程中全面考虑弥散效应有助于准确评估交叉处溶质的混合程度;粗糙度仅影响溶质到达出口处的运移时间;交叉角、开度比通过影响溶质分子扩散到不同出口分支的概率、优势流的流动路径,显著改变了交叉处溶质的混合程度;不同流量比通过影响交叉处流向出口分支的优势流位置,影响了交叉处溶质的混合。研究结论可为油气地下储存、垃圾填埋、核废料处置等地下工程中地下水污染物的防控治理提供理论依据。

       

      Abstract: The solute transport characteristics of intersecting fracture are the basis of solute transport in fractured rock mass. The advection and hydrodynamic dispersion are the main controlling mechanisms of non-reactive solute transport, and the Péclet number is used to evaluate their proportions in the process of non-reactive solute transport. By changing the flow velocity of the injected fluid and the geometric characteristics of the intersecting fracture such as roughness, intersecting angle and aperture ratio, the influences of the Péclet number and geometric characteristics of intersecting fracture on solute transport characteristics are obtained through the finite element numerical analysis. The results show that with the increase of the fluid flow velocity, the solute transport changes from dispersion-dominated to advection-dominated. By comprehensively considering the dispersion effects in practical engineering, it is helpful to accurately evaluate the mixing degree of solute at the intersection. The roughness primarily affects the solute migration time towards outlets. The intersecting angle and aperture ratio significantly alter the mixing degree of solute at the intersections by affecting the probability of solute molecules diffusing to different outlet branches and the flow path of the dominant flow. Different flow ratios also affect the mixing of solutes at the intersection by influencing the positions of the dominant flow towards the outlet branches. The research conclusions can provide a theoretical basis for the prevention and control of groundwater pollutants in underground engineering such as oil and gas underground storage, landfill and nuclear waste disposal.

       

    /

    返回文章
    返回