低应力和湿化路径下膨胀土的力学行为与本构模拟

    Mechanical behavior and constitutive modelling of expansive soils under conditions of wetting and low confining stress

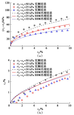
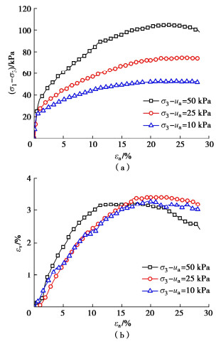
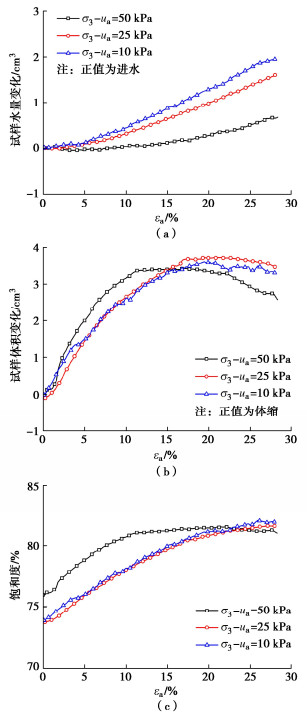
    • 摘要: 膨胀土典型变形与破坏现象通常发生在低应力和湿化路径共同作用下,有必要深入研究从非饱和到饱和、从湿化到破坏的膨胀土力学行为及其湿载耦合效应规律。为此,以双压力室非饱和土三轴试验系统、Fredlund土水特征曲线仪为主要平台,开展系统的控制吸力的湿载耦合试验,历时近800 d,获得了低应力和湿化路径下荆门黄褐色中膨胀土持水、变形、破坏等力学行为规律。在此基础上,采用Barcelona basic model描述其湿载共同作用下的应力-应变-强度行为,采用van Genuchten模型描述其非饱和渗流行为。结合10 a来该土样的其它试验结果,标定了低应力和湿化路径下荆门黄褐色中膨胀土完整的13个BBM参数以及VG模型参数。本构模拟结果表明上述模型与参数能够较好再现低应力和湿化路径下该膨胀土的力学行为。

       

      Abstract: Typical deformation and failure of expansive soils usually occur under conditions of wetting and low confining stress. However, the mechanisms of coupling between mechanical and hydrological behaviors under those conditions are still obscure. Therefore, the soil water retention, volume change and strength behavior of expansive soils are investigated through systematically designed suction-controlled hydro-mechanical coupled tests under varying saturation conditions along wetting path. The test program involves with the instruments including the double-cell unsaturated soil triaxial test system and the Fredlund soil water characteristic devices. The tests last almost 800 days, and the soil water retention, volume change, and strength behavior of Jingmen medium swelling soil under conditions of wetting and low confining stress are acquired. The Barcelona basic model is used to describe the unsaturated stress-strain-strength behavior under those conditions. The van Genuchten model is used to describe the unsaturated seepage process. Combined with the other test results of the soil over the past 10 years, the complete 13 BBM parameters and VG model parameters of Jingmen medium swelling soil under those conditions are calibrated. The constitutive modelling shows that the above models and parameters can reproduce the mechanical behavior of the soil under conditions of wetting and low confining stress effectively. The aim of this study is to improve the prediction capability of the related expansive soil problems, e.g., rainfall-induced landslides and deformations of pavement.

       

    /

    返回文章
    返回