悬挂止水帷幕下非稳定流模型解析解及应用

    Analytical solution and application of unsteady flow model under suspended curtain

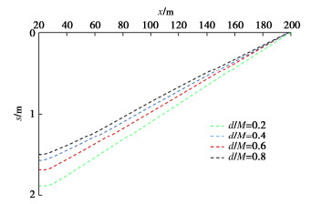
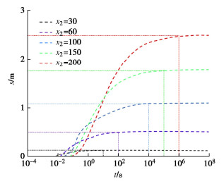
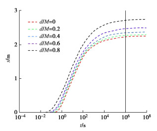
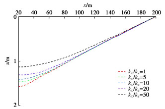
    • 摘要: 临海地铁深基坑多采用截水联合排水的降水措施,基坑周围的地下水因受海水补给影响多呈非稳定流动性状。为此,建立悬挂式止水帷幕及固定补给下基坑承压含水层抽水数学模型,采用Laplace变换和有限Fourier余弦变换获得水位降深在Laplace空间域内的解,再用Stehfest数值反演法得到其在实际空间的解析解。最后通过退化解和数值模拟分别验证其正确性并讨论分析其影响因素,得到以下结论:抽水后期,地下渗流趋于稳定后,止水帷幕插入比越大,坑内抽水含水层水位降深越大,而坑外抽水含水层水位降深不断减小;当固定补给距离基坑越近,坑内抽水含水层水位达到稳定的时间越短,且达到稳定后水位降深越小;坑外抽水含水层水位降深受含水层各向异性影响明显。同时,定义了相对降深比对固定补给影响分3个区:高影响区、过渡区和低影响区。针对不同影响区提出相应设计及施工方案以确保基坑的止降水效果。

       

      Abstract: The deep foundation pits of nearshore subways mostly adopt the dewatering measures of cutting water and draining, and the groundwater around the foundation pits shows unstable flow behavior due to the influences of seawater recharge. Therefore, a mathematical model for the pumping of confined aquifer in a foundation pit under suspended water curtain and fixed recharge is established. The Laplace transform and finite Fourier cosine transform are used to obtain the solution of the water level drop in the Laplace space domain, and then the analytical solution is obtained by using the Stehfest numerical inversion method in practical space. Finally, the correctness of the degradation solution and numerical simulation are verified, and the influencing factors are discussed. The conclusions are drawn as follows: (1) At the later stage of pumping, after the underground seepage tends to be stable, the larger the insertion ratio of the waterproof curtain, the greater the depth of the water level of the pumped aquifer in the pit, and the deeper the water level of the pumped aquifer outside the pit decreases. (2) When the fixed recharge is closer to the foundation pit, the shorter the time for the water level of the pumped aquifer in the pit to reach stability, and the smaller the water level drops after reaching stability. (3) The drop in the water level of the pumped aquifer outside the pit is obviously affected by the anisotropy of the aquifer. At the same time, a relative depth ratio is proposed to divide the impact of fixed recharge into three zones: high impact zone, transition zone and low impact zone. The corresponding design and construction plans are proposed for different zones to ensure the dewatering effects of the foundation pit.

       

    /

    返回文章
    返回