倾斜层状地基的精准边界元法及其应用

    Precise boundary element method for non-horizontally layered foundations and its applications

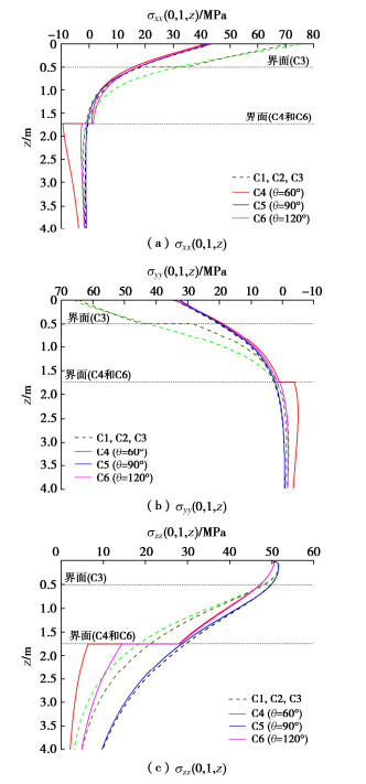
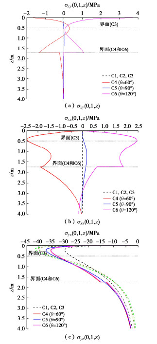
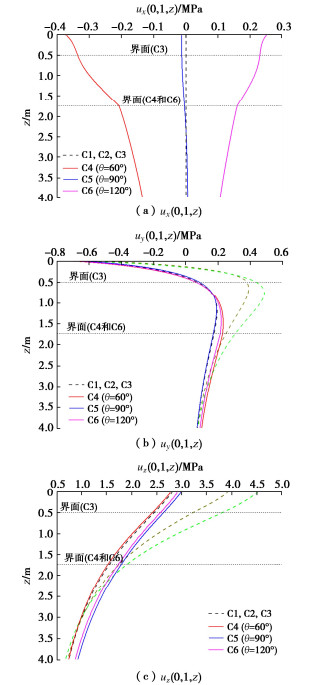
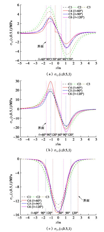
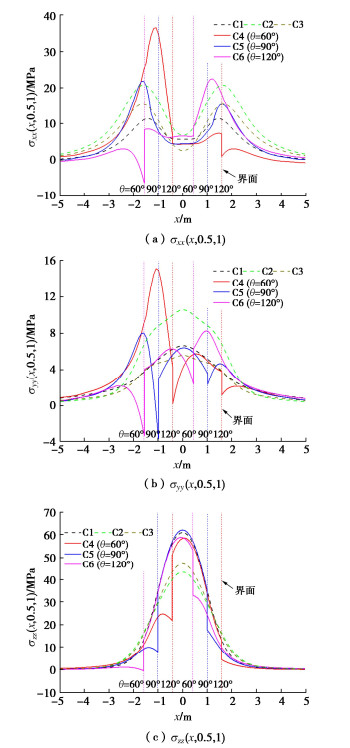
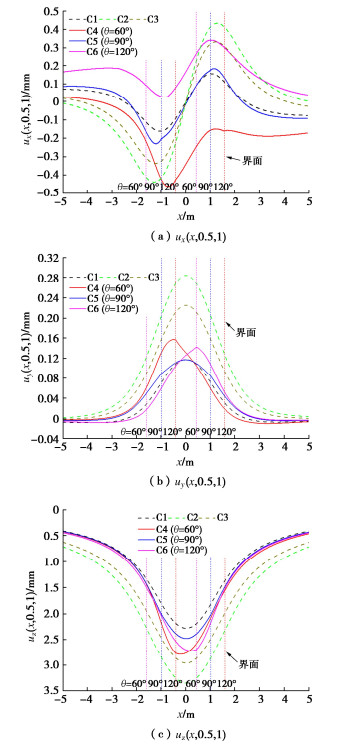
    • 摘要: 发展了一种新型边界元法,精准计算基础荷载作用下倾斜层状地基附加应力和沉降。该边界元法采用最新发展的横观各向同性层状材料基本解,8结点等参单元离散加载域及其附近区域的边界,6结点无穷单元离散远场边界。引入结点位于单元内部的不连续单元,消除边界积分方程自由项系数的求解困难,给出离散边界积分方程中非奇异和奇异积分的数值计算方法。数值验证表明发展的数值方法具有很高的计算精度和效率。算例分析详细揭示了层状岩土材料各向异性和倾斜分层对弹性场的影响。

       

      Abstract: A new boundary element method (BEM) is developed for accurately calculating the additional stresses and settlements in non-horizontally layered foundations. The proposed BEM utilizes the fundamental solutions for multilayered solids with transverse isotropy (TI) under point-concentrated loads. The eight-noded isoparametric elements are used to discretize a core region around the traction area, whereas the six-noded infinite elements are used to discretize a far-field region beyond the traction area. To avoid calculating the coefficient of the free term for the source point at the strike line between the boundary and the material interface, the discontinuous isoparametric and infinite elements with nodes located within elements are positioned near the strike lines. Numerical methods for non-singular and various singular integrals in the discretized boundary integral equations are developed. The numerical verification shows that the proposed BEM has very high accuracy and computational efficiency. The numerical examples illustrate the effects of anisotropy and non-horizontal layered structures of the foundations on the elastic fields.

       

    /

    返回文章
    返回