地震作用下岩质边坡失稳动力响应离散元分析

    Dynamic response of rock slope instability under earthquake through discrete element method

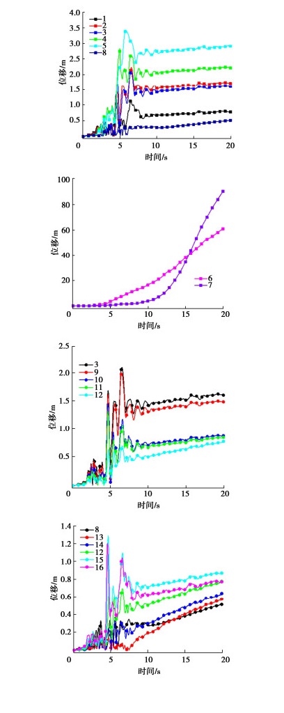
    • 摘要: 以红石岩边坡为研究对象,结合细观裂纹发育规律,采用离散元方法研究地震动力作用下边坡失稳启动机制,从细观层面揭示红石岩边坡渐进破坏崩塌过程。研究结果表明:随着地震荷载输入,软弱夹层区由于强度较低,发育裂纹较明显;地震动力下边坡表现为“逐层剥落”的渐进破坏崩塌过程,解体现象较为严重;位于临空破坏面的颗粒位移较大,坡体内部同一竖直方向埋深越大的颗粒位移较小;颗粒速度变化与输入地震波时程密切相关,速度曲线与波形基本一致。

       

      Abstract: Taking the Hongshiyan slope as the research object, combined with microscopic crack development, the discrete element method is used to study the initiation mechanism and failure process of Hongshiyan slope under seismic dynamics. The results show that with the seismic wave input, cracks develop rapidly in the weak interlayer areas due to low strength. Hongshiyan slope shows a progressive failure and collapse process of "layer-by-layer peeling off", and the disintegration phenomenon is more serious. The displacement of particles on the air-facing surface is larger. The larger the buried depth in the same vertical direction inside the slope, the smaller the particle displacement. The variation of particle velocity is closely related to the time history of the seismic waves, and the velocity curve is basically consistent with the shape of waves.

       

    /

    返回文章
    返回