木质素改良黄土动本构关系研究

    Dynamic constitutive relationship of lignin-modified loess

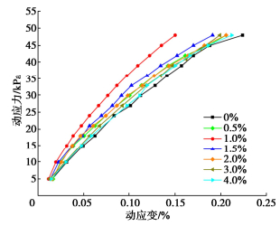
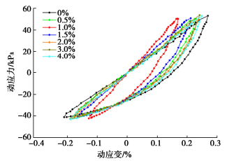
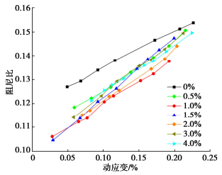
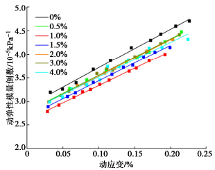
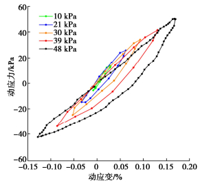
    • 摘要: 为有效改善黄土的动力易损性,选取新型环保加固材料木质素作为改良材料。基于室内试验,研究了不同掺量木质素改良黄土的动本构关系,分析了不同木质素掺量的改良黄土的滞回曲线特性和阻尼特性,并基于试验结果提出了考虑木质素掺量的改良黄土Hardin-Drnevich改进模型。研究结果表明:不同木质素掺量的改良黄土骨干曲线具有显著差异,同等动应力条件下,掺量1%的改良黄土的动应变最小。不同掺量的木质素改良黄土的阻尼比曲线和滞回曲线均具有显著差异,掺量1%的木质素改良黄土的滞回圈长轴更短,形状更为扁窄,面积更小。木质素改良黄土的阻尼比随木质素掺量的增加具有先减小后增大的特点,1%掺量的木质素改良黄土的阻尼比最小。木质素改良黄土动本构关系符合Hardin-Drnevich双曲线模型,并可在模型中引入木质素掺量m作为参数,得出相关性良好的Hardin-Drnevich改进模型。木质素可有效改善黄土的抗动变形能力和动刚度,但木质素掺量的持续增加不会导致其动力特性的持续增强。

       

      Abstract: To effectively improve the dynamic vulnerability of loess, lignin is selected as the environmentally friendly material to enhance the loess. Based on the dynamic triaxial tests, the dynamic constitutive relationship of lignin-modified loess is studied. A Hardin-Drnevich modified model considering the lignin content is discussed. The results show that the backbone curves of the modified loess with different lignin contents have significant differences. Under the same dynamic stress, the dynamic strain of modified loess with lignin content of 1% is the smallest. The hysteresis curves and the damping ratio-dynamic strain curves of the modified loess with different lignin contents have significant differences. The long axis of the hysteretic cycle of modified loess with lignin content of 1% is shorter, the shape is narrower, and the area is smaller. The damping ratio of the modified loess increases firstly with the increase of the lignin content, and it has a peak when the lignin content is 1%. The dynamic constitutive relationship of the lignin-modified loess conforms to the Hardin-Drnevich hyperbolic model, and the lignin content m can be introduced into the model to obtain a well-correlated Hardin-Drnevich modified model. The lignin can effectively improve the dynamic deformation resistance, seismic performance and dynamic stiffness of loess. However, the continuous increase of lignin content doesn't lead to the continuous improvement of dynamic characteristics.

       

    /

    返回文章
    返回