水泥土加固对单桩侧向动力响应的影响机制分析

    Influencing mechanism of cement-soil reinforcement on lateral dynamic response of single pile

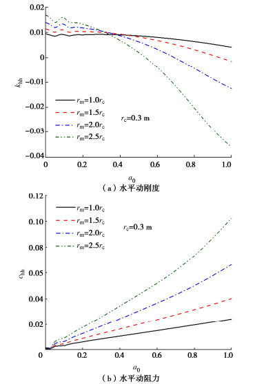
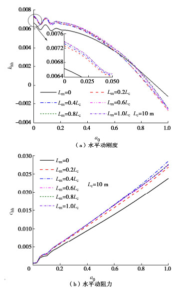
    • 摘要: 水泥土复合桩常被用作近海桥梁或风机基础以抵抗自然环境下水平动力荷载引起的基础侧向振动。本文通过理论推导建立了侧向动力荷载作用下水泥土复合桩-桩侧土体耦合振动的理论模型,并通过解析求解得到了桩顶水平和摇摆动阻抗。最后,通过数值算例和参数分析讨论了水泥土参数对桩顶动阻抗的影响。结果表明:水泥土加固厚度增大会提高桩顶水平和摇摆动阻抗,但不利于高频振动时的水平动阻抗;水泥土加固深度不宜超过其有效加固深度;水泥土弹性模量的增大有利于提高桩顶动阻抗。

       

      Abstract: Cement-soil composite pile is often utilized as the foundation of offshore bridges or wind turbines to resist lateral vibrations in natural environments. A mathematical model is proposed for the coupled vibration of the cement-soil composite pile and the soil around the pile under lateral dynamic loads through theoretical derivation. Then, the analytical expressions for the horizontal and rocking dynamic impedances at the pile head are obtained through theoretical derivation. Finally, the influence of cement-soil parameters on the dynamic impedance are studied through numerical calculation and parametric analysis. The results reveal that the increase of the cement-soil radius will increase the horizontal and rocking dynamic impedances, but it is not conducive to the horizontal dynamic impedance at high frequency vibration. The cement-soil depth should not exceed its effective reinforcement depth. The increase of the cement-soil elastic modulus is beneficial to improve the dynamic impedance of pile head.

       

    /

    返回文章
    返回