坝基深厚覆盖层原状砂土动力特性

    Dynamic properties of undisturbed sand in deep overburden of a dam foundation

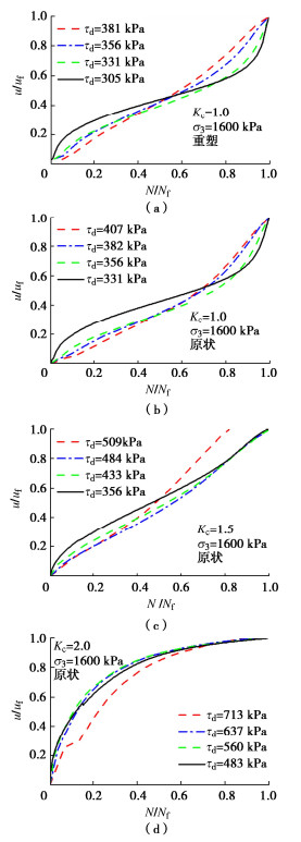
    • 摘要: 超深厚覆盖层地基是当前水利水电工程建设所面临的巨大挑战, 覆盖层土体的动力力学特性是进行地基土液化判别和坝体稳定分析的基础。本文以某拟建大型土石坝工程超深厚覆盖层地基中的砂土层为研究对象,对原状土样(通过深围井直接开挖取得的)和重塑土样开展了一系列的高围压条件下的不排水循环三轴试验。研究表明:原状砂土的动强度高于重塑砂土,且随着围压的增大二者之间的差别逐渐减小;原状土样和重塑土样的孔压、轴向应变发展规律类似;固结应力比对动强度指标及土样的破坏模式都有明显的影响,随着固结应力比的增大,动强度增大,土样破坏模式逐渐由液化破坏转变为塑性应变累积破坏。

       

      Abstract: The ultra-deep overburden foundation is a great challenge for the construction of water conservancy and hydropower projects. The dynamic mechanical properties of overburden soil are the basis for discriminating liquefaction of foundation soil and analyzing dam stability. The sand layer in the ultra-deep overburden foundation of a proposed large-scale earth rock dam project is taken as the research object. A series of undrained cyclic triaxial tests are conducted on the undisturbed soil samples (directly extracted from an ultra-deep in-situ test well) and remolded soil samples under high confining pressure conditions. The laboratory results demonstrate that the dynamic strength of the undisturbed sand is higher than that of the remolded sand, and the difference between them gradually decreases with the increase of the confining pressure. The evolution laws of pore pressure and axial strain of the undisturbed and remolded soil samples are similar. The consolidation stress ratio has obvious influences on both the dynamic strength index and the failure mode of the soil samples. With the increase of the consolidation stress ratio, the dynamic strength increases, and the failure mode of the soil samples gradually changes from liquefaction failure to plastic strain accumulation one.

       

    /

    返回文章
    返回