不同循环加载模式下改性铁尾矿砂的变形特性研究

    Deformation characteristics of modified iron tailings under different cyclic loading modes

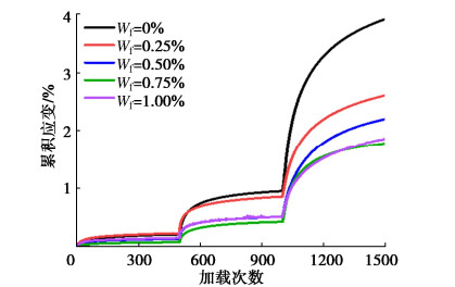
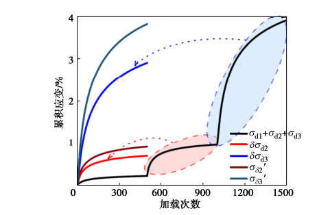
    • 摘要: 利用聚丙烯纤维和水泥改性铁尾矿砂,并将其应用于路基工程是实现铁尾矿资源化利用的有效手段。通过动三轴试验探究了不同循环加载模式下纤维掺量、动静比和龄期对纤维水泥改性铁尾矿砂(FCIT)变形特性的影响。研究结果表明:①间歇加载和逐级加载下FCIT的变形行为在7 d龄期时处于塑性安定和塑性蠕变状态;②对比持续加载和间歇加载变形情况,发现间歇加载下FCIT的累积应变( \varepsilon _\textp )变化幅度总体上小于持续加载作用引起的 \varepsilon _\textp 变化幅度;③逐级加载下FCIT的累积应变被赋予倍数系数后,可较好预测持续加载下的累积应变。修正后的累积应变满足幂函数和线性函数组成的预测公式。

       

      Abstract: Using polypropylene fiber and cement to modify iron tailings, the effects of fiber content, dynamic-static ratio and curing age on the deformation characteristics of the fiber cement-modified iron tailing (FCIT) under different cyclic loading modes are explored through the dynamic triaxial tests. The research results show that: (1) The deformation behaviors of FCIT under intermittent loading and progressive loading are in the state of plastic stability and plastic creep at curing age of 7 d. (2) By comparing the deformations of continuous loading and intermittent loading, it is found that the variation range of the cumulative strain ( \varepsilon _\textp ) of FCIT under intermittent loading is generally smaller than that of \varepsilon _\textp caused by continuous loading. (3) Assigning a multiple factor to the cumulative strain of FCIT under progressive loading improves predictions for the cumulative strain under continuous loading. The corrected cumulative strain satisfies the prediction formula composed of power function and linear function.

       

    /

    返回文章
    返回