软土地基堤防稳定性离心模型试验研究

    Centrifugal model tests on stability of embankment on soft soil foundation

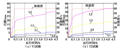
    • 摘要: 为探究软土地基堤防的稳定性及变形机理,以某软土地基堤防工程作为原型,提出了排水板+堆载预压排水固结处理优化方案,开展了3级堆载工况的2组堤防离心模型试验,从软基顶部沉降、孔隙水压力变化、地基强度变化等角度,对比分析了未处理与优化后软土地基堤防的稳定性。结果表明:处理后地基在3级堆载工况加载时均表现出更小的工后沉降,土压力在超重力场下快速稳定,孔隙水压力消散速度更快,塑料排水板+堆载预压地基处理方法能够提高软土地基固结效率及稳定性。研究成果可为软土地基的堤防断面设计和地基处理优化设计提供指导。

       

      Abstract: To explore its stability and deformation mechanism, an optimized consolidation treatment scheme of drainage plate and preloading drainage for the embankment on soft soil foundation is proposed based on an embankment project. Two groups of centrifugal model tests are carried out under three levels of preloading conditions. The stability of untreated and optimized embankments on soft soil foundation is compared and analyzed from the perspectives of foundation settlement, pore water pressure and foundation strength. The results show that a smaller post-construction settlement for the treated foundation is observed under the loading conditions of three levels of preloading, and the earth pressure reaches a stable state in a short time under over-gravity field. Meanwhile, the dissipation capacity of pore water pressure is higher. The plastic drainage board and surcharge preloading foundation treatment method for the old embankment on soft foundation can improve the consolidation efficiency and stability. The research results may provide guidance for the section design of embankment and the optimization of foundation treatment on soft soil foundation.

       

    /

    返回文章
    返回