斥水砂-黏混合土的基本物理力学性质

    Basic physical and mechanical properties of water repellent sand-clay mixed soil

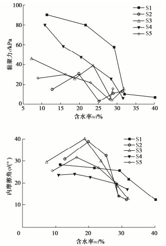
    • 摘要: 斥水土具有许多优良的性质,目前在利用斥水土方面主要针对斥水性砂土,为扩展斥水土的应用范围,对斥水砂-黏混合土进行了一系列物理力学试验,结果表明:斥水黏土的松散土样在等温条件下吸附稳定后,表现出了明显斥水不均匀性,而斥水黏土与斥水砂土混合样则呈现斥水均匀性。2种土样击实后均表现为斥水均匀性。亲水土的土水特征曲线位置要高于斥水土,但不会出现基质吸力由“吸引”变为“排斥”情况,亲水黏土斥水化后黏聚力会有所降低。亲水或斥水黏土中加砂减小了土体的黏聚力,但增加了内摩擦角。黏土中加入亲水或斥水砂并不会引起二者强度的明显差异。斥水土与亲水土物理力学性质的差异主要是由于黏土颗粒吸附及斥水性黏土团聚体的存在造成的。斥水黏土加入斥水砂将极大拓展斥水土的应用范围,将为斥水土的进一步推广和应用提供相应的试验基础。

       

      Abstract: The water repellent soil has many excellent properties. At present, its use is mainly aimed at the water repellent sand. In order to expand the application scope of the water repellent soil, a series tests are carried out. The results show that the loose soil samples of the mixture of the water repellent clay exhibit obvious non-uniformity of water repellency after adsorption stability under isothermal conditions, while the mixture of the water repellent clay and sand exhibits uniformity of water repellency. Two kinds of soils are uniformly repelled after compaction. The position of soil-water characteristic curve of the hydrophilic soil is higher than that of the water repellent soil, but there is no change of matric suction from "attraction" to "exclusion". The cohesion of hydrophilic clay will be reduced after water repellency. Adding hydrophilic sand or water repellent sand does not cause the difference of shear strength. The difference of physical and mechanical properties between the water repellent soil and the hydrophilic soil is mainly due to the adsorption of clay particles and the existence of water repellent clay aggregates. The addition of the water repellent clay and sand greatly expands the application scope of the water repellent soil. The research results may provide the corresponding test basis for the popularization and application of the water repellent soil.

       

    /

    返回文章
    返回