典型无机絮凝剂对疏浚淤泥絮凝效果及出水水质影响研究

    Influences of typical inorganic flocculants on flocculation effects of dredging materials and quality of effluent water

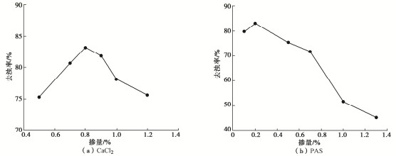
    • 摘要: 针对淤泥堆场堆填处置中,天然底泥自重落淤固结缓慢等问题,工程中常添加化学药剂来加快泥水分离过程。利用量筒沉积柱试验研究了5种典型无机絮凝剂对高含水率疏浚淤泥的絮凝沉积效果及上覆水水质(浊度值)的影响规律。5种典型的无机絮凝剂中,CaCl2,PAS(聚合硫酸铝)的絮凝效果相对较好。在此基础上,探明了这两种絮凝剂在不同掺量下对疏浚淤泥沉积规律的影响。试验结果表明,CaCl2,PAS掺量不同,泥浆自重沉积固结稳定后沉降量、沉降速率、沉积稳定时间不同,得到CaCl2和PAS的最优掺量分别为0.8%,0.2%。在最优掺量下上覆水的去浊率可达到84%左右。CaCl2通过Ca2+的交换作用和电性中和作用发挥絮凝作用;PAS主要通过土颗粒表面的电性中和作用发挥絮凝作用。结果可为大规模疏浚淤泥的快速絮凝和余水排放研究和设计提供参考借鉴。

       

      Abstract: In view of the problems such as slow siltation and solidification of natural bottom sludge in the landfill disposal of sludge yards, the chemical agents are often added in the project to speed up the process of sludge-water separation. The influences of five typical inorganic flocculants on the flocculation sedimentation effects of dredged materials with high water content and the quality of overlying water (turbidity) are studied through the measuring cylinder sedimentation tests. Among the five typical inorganic flocculants, CaCl2 and PAS (polyaluminum sulfate) have relatively good flocculation effects. On this basis, the influences of these two flocculants on the sedimentation laws of dredged sludge under different dosages are investigated. The test results show that with different contents of CaCl2 and PAS, the settlement amount, rate and stabilization time of the sludge after self-weight sedimentation and consolidation are different. The optimum contents of CaCl2 and PAS obtained in this study are 0.8% and 0.2%, respectively. Under the optimal dosage, the turbidity removal rate of the overlying water can reach about 84%. CaCl2 plays a role of flocculation through Ca2+ exchange and electrical neutralization; and PAS mainly plays a role of flocculation through electrical neutralization on the surface of soil particles. The results may provide a referencees for the research and design of rapid flocculation and residual water discharge of large-scale dredged materials.

       

    /

    返回文章
    返回