P/SV波任意角斜射下山岭-含水谷场地地震动分析

    Seismic analysis of irregular topography of hill and water-filled valley under oblique incident P- and SV-waves

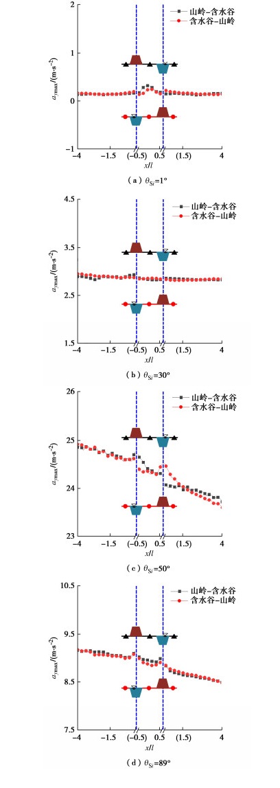
    • 摘要: 山岭-含水谷地形作为一种常见的复合场地,其对地震动响应的影响规律尚不明确。为此,通过理论推导实现了有限域内的土水耦合,并结合有限/无限元法对P波和SV波任意角斜射下山岭-含水谷复合场地进行了二维地震分析,探讨了山岭和含水谷的相对位置关系对场地二维地震响应的影响。结果表明:①P波或SV波斜射时,位于含水谷地震波入射前侧的山岭能抑制含水谷对地震波入射近端处地表最大水平加速度的放大作用;②当SV波跨临界角入射且山岭位于含水谷地震波入射前侧时,地表最大水平加速度在复合地形的地震波入射远端反而被放大;③山岭-含水谷相对位置、入射波类型和临界角对于复合地形两端位移频谱影响显著。

       

      Abstract: As a common composite terrain, the effects of the irregular topography of hill and water-filled valley on the ground motion are currently unclear. Therefore, the coupling of soil and liquid in finite domain is realized through the theoretical analysis, the seismic analysis of irregular topography of hill-water-filled valley under oblique incident P- and SV-waves by the finite-infinite element method is conducted, and the effects of the relative position between the hill and the water-filled valley on the ground motion are discussed. The new findings of this study include: (1) The hill located at the incident side of the seismic waves of the water-filled valley can restrain the amplification effects of the maximum horizontal acceleration of ground on the "near" edge of the water-filled valley under P- and SV-waves. (2) For the SV-waves with overly critical angles and the hill located at the incident side of the seismic waves of the water-filled valley, the maximum horizontal acceleration of ground on the "far" edge of the water-filled valley is amplified instead. (3) The relative position between the hill and the water-filled valley, the seismic wave types and the critical angles have significant influences on the displacement spectra at both sides of the irregular topography.

       

    /

    返回文章
    返回