考虑水油分离的柴油污染土持液特性试验研究

    Liquid-retention characteristics of diesel-contaminated soil considering water-diesel separation

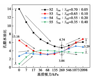
    • 摘要: 为探究土体对水油两相非溶混液体的吸持性能以及脱湿过程中孔隙水油分布的演化规律,采用离心机法对不同水油含量土体进行了持液特性测试,并通过离心杯内壁界面改性及体积量测法实现了土中水油混合体的微损收集以及分离定量。在此基础上,通过对离心过程中土样收缩体变的修正,给出了离心等效吸力与含水率、含油率和油水总含量的关系;进一步分析了柴油含量对土体持液特性和孔隙演化的影响机理。结果表明:污染土的持液特性与柴油含量相关,随着柴油含量增大,土体的进气值及残余含液率均减小,持液能力减弱;经历相同离心荷载作用后,含油量高的土体收缩变形量更小,孔隙含量更大;柴油因极性弱、黏度大、表面张力小而优先填充土中大孔隙,水优先填充小孔隙;相同离心等效吸力作用下,土体的排油和排水速率均与初始柴油含量密切相关,随着吸力增大,孔隙水油比趋于达到同一状态。

       

      Abstract: To investigate the liquid-retention characteristics of soils with immiscible liquid of water and diesel, and analysis the distribution and evolution of pore water-diesel during the dehumidification process, a centrifuge method is used to test the liquid-retention characteristics of soils with different water-diesel contents. Additionally, the modified interface of the centrifuge cup and the volumetric measurement method are used to achieve the micro-loss collection and quantitative separation of the soil and diesel. On this basis, the relationship among centrifugal equivalent suction, water content, diesel content and total liquid content is respectively analyzed considering the soil deformation during the centrifugal process. Furthermore, the influence mechanism of the diesel content on the liquid-retention characteristics of soils and the pore evolution is analyzed. The results show that the liquid-retention characteristics of the contaminated soil are related to its diesel content. The air entry value and residual liquid content of the soil decrease as the increase of the diesel content, indicating a weakening of the liquid retention capability of the soil. The soil with high diesel content undergoes small shrinkage deformation and large pore content under the same centrifugal loads. The diesel is preferred to fill larger pores due to its high viscosity and low surface tension, while the water is preferred to exist in smaller pores due to its strong polarity and wettability. The water-diesel ratio in the pores trends to reach a constant range as the matric suction increases.

       

    /

    返回文章
    返回