降压开采下深海能源土近井界面力学特性耦合分析

    Coupling analysis on mechanical properties of near-well interface of methane hydrate-bearing sediments under depressurization exploitation

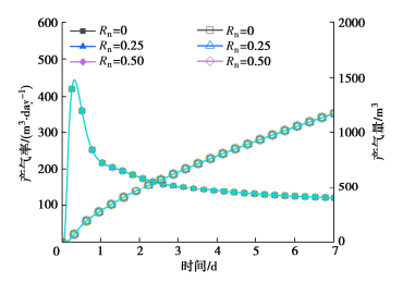
    • 摘要: 天然气水合物作为最有潜力的清洁能源之一备受关注。开采过程中水合物分解将使近井水合物沉积物(即深海能源土)力学特性劣化,引起系列开采风险及工程地质灾害。针对目前大多数研究未从微观角度着眼于开采中的能源土-井筒结构接触界面特性变化,采用实用型水合物开采多场耦合分析框架TOUGH+HYDRATE+PFC,考虑相对更为真实的能源土-井筒接触界面的不同情况,开展了降压开采多场耦合数值模拟,对近井土体以及井筒本身的力学响应进行了对比分析,探讨了井筒表面粗糙度对于开采中土体、井筒间的相互作用的影响规律。结果表明:①不同的井筒表面粗糙程度未对温压化及开采效率方面产生明显影响。②适当提高井筒表面的粗糙程度可有效地减小接触土体沉降幅度,增强井壁接触区域的土体稳定性,降低开采风险以保证开采能够相对稳定地长期进行。③井筒粗糙度的增大会导致井筒受到更大的摩擦力,需控制井筒表面不能过于粗糙以防止井筒本身受力过大影响而失稳破坏。

       

      Abstract: The methane hydrate (MH) has been attracting extensive attention as one of the most potential clean energy sources. During its exploitation, hydrate dissociation induces the weakening of mechanical properties of near-well MH bearing sediments (MHBS), which can result in series of engineering problems. Given that most current researches do not focus on the interface properties of MHBS-well structure during exploitation, the practical multi-field TOUGH+HYDRATE+PFC coupling framework is adopted, and considering different conditions of a more real MHBS-well interface, the multi-field coupling numerical simulation of depressurization is performed. Comparison and analysis are made on the mechanical properties of near-well soil and the well, and the influences of surface roughness on wellbore stability are discussed. The results show that: (1) Different well roughnesses doesn't have obvious influences on the thermal-mechanical-chemical evolution and production efficiency. (2) Appropriately increasing the surface roughness of the well can effectively reduce the settlement amplitude of the contact soil, enhance the stability of soil in the contact area with the wellbore, and reduce the risk to ensure a relatively stable long-term production. (3) The increase of well roughness will lead to greater frictional force on the well. It is necessary to control the well surface not to be too rough, in order to prevent the wellbore itself from suffering the impact of the excessive forces, destabilizing and becoming failure.

       

    /

    返回文章
    返回