不同级配GMZ膨润土颗粒混合物的热传导特性研究

    Thermal conductivity of GMZ bentonite pellet mixtures with different grain-size distributions

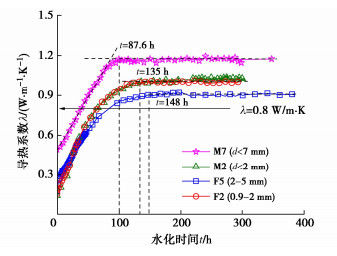
    • 摘要: 作为高放废物深地质处置库施工接缝的回填材料,膨润土颗粒混合物导热性能对处置库安全评价至关重要。以中国深地质处置库首选缓冲/回填材料高庙子(GMZ)膨润土为对象,开展了水化过程中、自由填充和给定干密度条件下不同级配膨润土颗粒混合物试样的导热性能试验。结果表明,对于自由填充情况的颗粒混合物,导热系数随粒径的增加呈先增加后降低变化,而给定填充密度的混合物导热系数随粒径的增加单调降低;连续水化过程中,不同级配混合物导热系数的时程曲线均可分为快速增长段和稳定段,其发展趋势与稳定时间受颗粒组成影响;膨润土颗粒水化膨胀充填粒间孔隙,浸润峰由上、下端不断向中部发展,混合物由颗粒型结构逐渐向连续均匀型结构发展;接近饱和状态后,颗粒混合物和压实膨润土的导热系数随干密度的发展规律具有一致性。

       

      Abstract: The bentonite pellet mixture has been proposed as a candidate backfilling material for technological gaps in deep geological repositories for disposal of high-level radioactive waste. Its thermal conductivity plays an important role in the safety assessment of the repository. In this study, a series of thermal conductivity tests are conducted on the GMZ bentonite pellet mixtures with different grain-size distributions. The results demonstrate that as the pellet size increases, the thermal conductivity of the mixtures firstly increases and then decreases for the specimens freely filled. However, the thermal conductivity monotonically decreases with the increase of the pellet size for the specimens packed at a given dry density. During the hydration process, the time-history curves of thermal conductivity for the pellet mixtures with different grain-size distributions can be approximately divided into a rapidly increasing stage and a stable stage. Meanwhile, the evolution and the stable time of thermal conductivity are both influenced by the particle composition. The bentonite pellets are swelled to fill the inter-pellet pores upon hydration, and the infiltration frontier gradually moves from the top/bottom part to the middle one, which is accompanied by a gradually structural transformation from a granular structure into a continuously homogeneous one. After approaching to the saturated state, the relationship between the thermal conductivity and the dry density for the bentonite pellet mixtures shows a good consistency to that of the compacted bentonite blocks.

       

    /

    返回文章
    返回