软黏土取样扰动机理、评估方法及控制措施研究进展

    Research progress on disturbance mechanisms, evaluation methods and control measures for sampling of soft clay

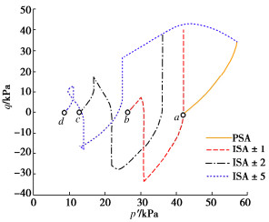
    • 摘要: 软黏土由于具有含水率高、压缩性强、灵敏度高等特点使其在取样过程中易受到扰动,导致土体的强度及变形特性显著改变。了解取样扰动的力学机理、减少取样扰动影响并对土样质量进行合理评估对于确定工程设计中有代表性的土体参数具有重要意义。为此,总结了国内外软黏土取样扰动相关的研究进展,具体包括软黏土取样扰动因素及力学机理、取样扰动影响的宏微观表现、扰动程度的评估方法以及减少扰动的措施。研究表明:目前针对取样扰动宏观力学机理的研究成果颇丰,但缺乏相应的微观试验证据及微观机理分析对宏观结果进行佐证;现存土样质量评估指标大都只针对纯黏土,对粉质黏土、粉土等低塑性中间土体的适用性存疑,目前仍没有针对不同性质土体的统一土样质量评价体系;室内再固结方法可以有效减少取土过程中的应力释放影响,但无法恢复附加扰动破坏的土体结构。基于此,对今后亟待开展的研究提出了4点建议与展望。

       

      Abstract: The soft clay, characterized by high moisture content, strong compressibility and high sensitivity, is prone to disturbance during the sampling process, resulting in significant changes in the strength and deformation characteristics of soils. Understanding the mechanical mechanism behind sampling disturbance, reducing its impact and accurately evaluating the sample quality are crucial for determining the representative soil parameters in engineering design. To address these issues, the current researches on sampling disturbance in soft clay are summarized, including the mechanical mechanisms of sampling disturbance, the macroscopic and microscopic effects, the methods for the sample quality evaluation and the strategies to reduce disturbance. The researches show that there are abundant results on the macroscopic mechanical mechanisms of sampling disturbance. However, there is a lack of corresponding microscopic experimental evidence and analysis to support these macroscopic results. Furthermore, the most existing quality evaluation indices are designed for the clay and may not applicable to the low-plasticity intermediate soils such as silty clay and silt. Currently, there is still no unified quality evaluation system for the soil samples with varying properties. The reconsolidation methods can effectively reduce the stress release during the soil sampling process, but they cannot restore the soil structure damaged by sampling disturbance. Based on this, four suggestions and prospects for future researches are proposed.

       

    /

    返回文章
    返回