基于多切线技术的盾构隧道开挖面稳定性分析

    Face stability of shield-driven tunnels using multi-tangent technique

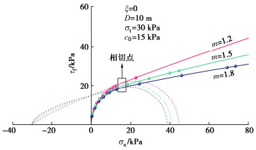
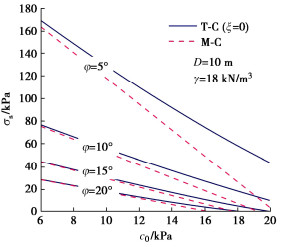
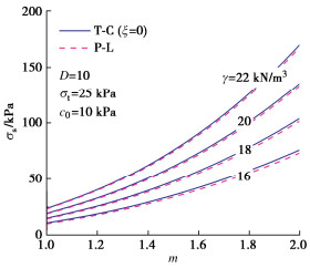
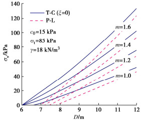
    • 摘要: 针对非线性条件下深埋隧道开挖面稳定性问题,采用多切线技术分段线性近似Power-Law(P-L)准则,基于极限分析上限定理,构建1种新的开挖面多曲线圆锥破坏机构,提出1种考虑拉应力截断Tension cut-off(T-C)效应的开挖面稳定性理论计算方法。通过与既有文献结果对比,验证所提方法的可靠性。根据反算的应力分布和破坏机构几何特点,探究不同参数条件下T-C对开挖面稳定性的影响。结果表明:①在线性条件下,黏聚力较大且内摩擦角较小时,T-C对开挖面临界支护力的影响较大;在非线性条件下,m的增加并不会放大T-C对开挖面稳定性的影响。②在抗拉强度较大时,T-C对开挖面稳定性影响较为显著,随着抗拉强度的折减,T-C控制的破坏机构尺寸逐渐减小,且顶部区域明显钝化。

       

      Abstract: To address the face stability problem of deep-buried tunnels under nonlinear conditions, using Power-Law (P-L) criterion the approximate piecewise and by multi-tangent technique, a novel multi-cone failure mechanism is developed for tunnel faces based on the kinematic limit analysis theorem. A theoretical framework considering the tension cut-off (T-C) is proposed to evaluate the stability of tunnel faces. The reliability of the proposed method is validated through comparison with that in the existing literatures. Based on the back-calculated stress distribution and geometric feature of the failure mechanism, the influences of T-C under different parameters on the stability of tunnel faces are investigated. The results indicate that: (1) under the linear condition, the effects of T-C on the critical support pressure are more significant with high cohesion and small internal friction angle. Under the nonlinear condition, an increase in the nonlinear coefficient will not exacerbate the impact of T-C on the face stability. (2) For higher tensile strength, the effects of T-C on the stability of tunnel faces are significant. As the tensile strength decreases, the failure mechanism governed by T-C gradually shrinks, and the top of the failure mechanism exhibits noticeable blunting and looks like a dome.

       

    /

    返回文章
    返回