Abstract:
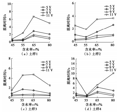
The mechanical construction is widely used in geotechnical engineering, but clay clogging is the major problem that hinders construction. Shield, drilling pile machine and other equipments are prone to mud cake, clogging, poor soil discharge and other phenomena during the construction in clay stratum, which leads to the increased torque of the apparatus, intensified tool wear and reduced construction efficiency. The clay clogging generally occurs at the interface between clay and metal surfaces, and reducing the adhesion force of the clay to the metal surfaces is the key to solving the above issues. A method of using the electro-osmosis technology is introduced to form a water film between the clay and the metal interfaces to reduce the clay adhesion. The tilted-plate tests and electro-osmosis tests are conducted on four types of clay under different voltages and water contents. The experimental results show that the electrodynamic behavior of the clay is influenced by the water content and clay minerals, and needs to meet a certain voltage threshold. The critical sliding voltage threshold of the four clay samples in the experiment is concentrated at 4 V, with slight differences influenced by the water content. After the voltage exceeds the threshold, the detachment time of the soil samples decreases sharply. Increasing the voltage from 9 V to 11 V does not show a significant difference in the detachment time. After the voltage exceeds 7 V, increasing the voltage has few effects on reducing the stickiness of the soil samples, but the energy consumption during the electro-osmosis process increases significantly. When applying the electro-osmosis method in practical engineering, the factors such as energy consumption and formation conditions should be considered comprehensively so as to select the optimal voltage-based electro-osmosis viscosity reduction program and improve the construction efficiency.