基于广义剪应变的各向异性固结饱和砂土超静孔压发展模型

    Generalized shear strain-based model for development of excess pore water pressure in saturated sand under anisotropic consolidation

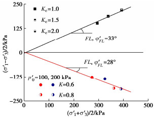
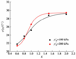
    • 摘要: 各向异性固结条件下饱和砂土中超静孔隙水压力的发展规律对于理解砂土液化行为至关重要。使用空心圆柱扭剪仪进行了一系列扭剪试验,研究了初始固结条件(初始平均有效应力p'0、固结应力比K)和循环加载条件(循环应力比CSR)对饱和砂土的广义剪应变γg和超静孔压比ru发展规律的影响。试验结果表明,各向异性固结条件下的砂土表现出三类破坏模式:循环迁移、循环液化和残余累积变形。在所有3种破坏模式下,归一化超静孔压比ru, n都与γg相关。据此提出了考虑各向异性固结条件的饱和砂土超静孔隙水压力预测模型。该模型能合理预测不同固结应力状态下超孔隙水压力的发展。

       

      Abstract: The development pattern of the excess pore water pressure in saturated sand under anisotropic consolidation conditions is crucial for understanding the liquefaction behavior of sand. In this study, a series of torsional shear tests are conducted using the hollow-cylinder torsional apparatus to examine the influences of the initial consolidation conditions (initial mean effective stress p'0 and consolidation stress ratio K) and cyclic loading conditions (cyclic stress ratio, CSR) on the development patterns of the generalized shear strain (γg) and excess pore water pressure ratio (ru) in saturated sand. The experimental results indicate that the sands under anisotropic consolidation exhibit three failure modes: cyclic mobility, cyclic liquefaction and residual cumulative deformation. The normalized ru can be correlated with γg for all the three failure modes. A prediction model for the excess pore pressure is proposed considering the anisotropic consolidation conditions for saturated sand. The model can reasonably predict the development of pore water pressure under different consolidation stress states.

       

    /

    返回文章
    返回