考虑孔口周边均匀切应力作用的柱形孔扩张二维弹塑性分析

    Two-dimensional elastic-plastic analysis of cylindrical cavity expansion considering uniform shear stress around holes

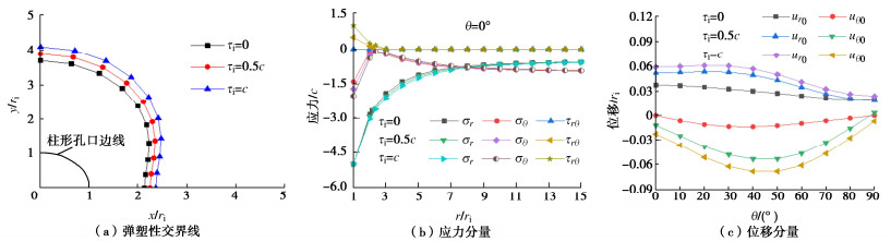
    • 摘要: 为了求解两向不等压应力场和孔口剪切应力共同作用下的柱形孔扩张弹塑性统一解,首先将应力函数展开为三角级数形式,推导了弹性区应力和位移;接着采用统一强度理论和相关联流动法则,推导了塑性区应力和位移;最后通过保角映射函数确定了弹塑性交界线,进而根据弹塑性交界线处的应力连续条件,采用最小二乘法确定了弹性区应力和位移中的常系数。新提出的弹塑性统一解提供了一种求解柱形孔扩张问题的新框架,不仅扩展了Tresca屈服准则下的解,还可以反映柱形孔扩张时的“非圆效应”。通过与复变函数法、试验值对比验证了解的正确性,并且分析了各个参数对弹塑性交界线、应力和位移的影响。

       

      Abstract: In order to solve the elastic-plastic unified solution of cylindrical cavity expansion under the combined action of two-dimensional unequal pressure stress field and shear stress, the stress function is expanded into trigonometric series, and the stress and displacement in elastic zone are derived. Then, the stress and displacement in plastic zone are derived by using the unified strength theory and associated flow rule. Finally, the elastic-plastic boundary is determined by the conformal mapping function, and then the constant coefficients of stress and displacement in elastic zone are determined by the least squares method according to the stress continuity condition at the elastic-plastic boundary. The new elastic-plastic unified solution provides a new framework for solving the problem of cylindrical cavity expansion, which extends the solution under the Tresca yield criterion and reflects the "non-circular effect" of cylindrical cavity expansion. The correctness of the solution is verified by comparing with the complex function method and experimental values, and the influences of various parameters on the elastic-plastic boundary, stress and displacement is analyzed.

       

    /

    返回文章
    返回