考虑时变污染源与土工膜破损的污染物二维迁移特性

    Two-dimensional migration characteristics of contaminants considering time-dependent contaminant sources and GM defects

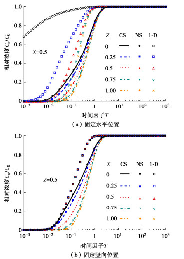
    • 摘要: 土工膜常被用为填埋场中第一道衬垫来阻隔上部的渗沥液,从而避免有毒物质进入下伏土层。然而,土工膜在铺设或服役过程中很容易由于受到外力而破损,使其阻隔性能大大降低。鉴于此,在考虑污染源随时间变化的前提下,建立了污染物在通过破损土工膜进入土层的二维迁移模型。结合Laplace变换、Fourier变换及边界转换法,给出了污染物浓度随时间变化的半解析解。采用数值解与半解析解结果进行对比,验证了研究的正确性与可靠性。通过分析不同参数下污染物浓度随时间变化及空间分布的规律,研究污染物透过破损的土工膜后在土层中的迁移特性。研究结果表明,土工膜破损率越大,污染物迁移越快,且浓度变化敏感性随着破损率减小而提高;另外,假定浓度函数为指数函数时,土层中的污染物浓度存在峰值,具体表现为浓度参数越大,峰值越大且出现时间越晚。

       

      Abstract: The geomembranes (GMs) are often used as the first liners in landfills to block the upper leachate and prevent the toxic substances from migrating to the underlying soil layer (SL). However, during the construction or service periods, defects are easily caused in the GMs by external forces, which can greatly reduce their barrier capacity. In view of this, a two-dimensional migration model for the contaminant transporting through a defected GM to the underlying SL is established with time-dependent pollution source. The Laplace transform, Fourier transform and boundary transformation methods are employed to obtain the semi-analytical solution for contaminant concentration. Later, the correctness and reliability of this study are verified by comparing the numerical results and the semi-analytical solutions. The migration characteristics of pollutants in the SL through the defected GM are investigated against different parameters under the temporal and spatial domains. The results indicate that the migration is faster with larger defect rate, and the smaller defect rate leads to the higher sensitivity to concentration variations. In addition, the peak values of concentration exist when the exponential concentration function is adopted, and the higher and later peak is produced with the larger concentration function parameter.

       

    /

    返回文章
    返回