高压实膨润土与孔隙溶液物理作用机制研究进展

    Advances in physical interaction mechanism between highly compacted bentonite and pore solution

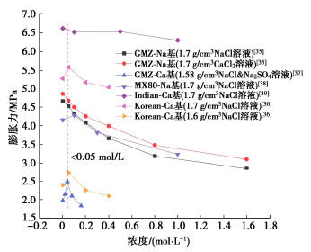
    • 摘要: 作为高放废物处置库的工程屏障,高压实膨润土在长期服役过程中将受到围岩地下水及其化学成分的渗入作用,膨胀性能不断衰减,最终威胁处置安全。在阐述孔隙溶液对高压实膨润土水化膨胀过程影响规律的基础上,总结了高压实膨润土与孔隙溶液物理作用机制的最新研究成果。结果表明,孔隙溶液对高压实膨润土的物理作用机制包括晶层膨胀、扩散双电层膨胀和吸附作用等3种。其中,孔隙溶液对晶层膨胀的作用与浓度有关,低浓度时表现为促进作用,高浓度时表现为抑制作用,取决于孔隙溶质吸力与临界吸力的差;孔隙溶液对扩散双电层的抑制作用是导致有效孔隙通道扩大、渗透和扩散系数增大的主要原因;pH对膨润土表面活性位点和核素水解的影响是引起吸附特性变化的主要原因,背景离子的竞争吸附作用致使膨润土对核素离子的吸附量显著减少。目前,孔隙溶液作用的参数概化、有效孔隙量化和吸附化学模型的研究仍有不足。因此,进一步优化本构模型中孔隙溶液作用的化学参数,明确不同尺度孔隙的等效量化研究,构建约束条件下压实膨润土多组分竞争吸附模型仍是今后需要深入研究的重点方向。

       

      Abstract: The swelling performance of highly compacted bentonite deteriorates due to infiltrating rock groundwater and chemical components during its long-term operation, ultimately posing a threat to disposal safety. The recent researches on the physical interaction between compacted bentonite and pore solution are reviewed based on the phenomena related to the influences of the pore solution on buffering properties. The results show that the physical mechanism of the pore solution on highly compacted bentonite includes swelling of crystal layer, swelling of diffusion double layers and adsorption effects. The effects of the pore solution on the swelling of crystal layer are related to its concentration, and they are promoted at low concentration and inhibited at high concentration, which depends on the difference between the suction and the critical suction of the poresolution. The inhibition of the pore solution on the swelling of double layers is the main factor for the enlarged pore channels, higher permeability and diffusion coefficients. The pH change and nuclide hydrolysis alter the adsorption characteristics, while the competitive background ion adsorption reduces the nuclide capacity of bentonite. The current shortcomings include parameter generalization for pore solution effects, effective porosity quantification and adsorption models. Therefore, the further optimization of chemical parameters of pore solution in the constitutive model, the clarification of the equivalent quantification of the pores at different scales, and the establishment of a multi-component competitive adsorption model under the constraint of compacted bentonite are still the key directions for the further researches in the future.

       

    /

    返回文章
    返回