考虑超载和纵坡效应的隧道开挖面破坏分析

    Failure analysis of tunnel face influenced by overload and longitudinal slope

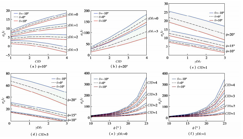
    • 摘要: 针对地表超载和纵向坡度影响下的隧道开挖面稳定性问题,提出源于构造破坏机制的初始三角形网格更新策略,应用刚体平动运动单元上限分析(UB-RTME)方法开展非线性规划运算,获得地表临界超载系数σs/c图表与滑移线网破坏模式。结果表明:①以网格更新得到的UB-RTME滑移线网与Optum G2自适应加密网格,均可反映隧道开挖面破坏影响范围及承载关键区域,且UB-RTME以有效间断线及单元速度确定破坏范围,可揭示相对破坏范围S/D2定量数据及滑移线网破坏形态与影响因素的关联规律。②临界超载系数σs/c随纵向坡度角θ增大而显著降低,随埋深比C/D增大而增大,随重度系数γD/c增大而不断减小,随内摩擦角ϕ增大而非线性增大。③对于C/Dϕ数值较大的情况,网格密度将显著影响UB-RTME运算得到的σs/c数值解精度;网格密度增加后,σs/c计算结果精度显著提高,且体现破坏特征的网状滑移线变得更加光滑。

       

      Abstract: Aiming at the stability of excavation face of tunnels under the influence of surface overload and longitudinal slope, an initial triangular mesh updating strategy derived from the structural failure mechanism is proposed. The computation is conducted by using the upper bound method with the rigid translatory moving elements (UB-RTME) with nonlinear programming to generate stability charts for the load factor σs/c and obtain the slip line failure modes. The results show that the range affected by the failure modes and the major failure domain are given by both the UB-RTME slip line mesh and the Optum G2 adaptive encryption mesh. The range of failure area is determined by the effective discontinuities and element velocity characterized by the UB-RTME. The quantitative data of the failure area S/D2 and the relationship between the slip line failure modes and the influencing factors are provided. The load factor σs/c decreases significantly with the increase of the longitudinal slope angle θ, increases with the increasing buried depth ratio C/D. It decreases with the increase of the gravity coefficient γD/c while increases nonlinearly with the increase in the internal friction angle ϕ. For the case with large values of C/D and ϕ, the mesh density will significantly affect the accuracy of the σs/c numerical solution obtained by the UB-RTME operation. With the increase of the mesh density, the accuracy of the calculated results of σs/c is significantly improved, and the slip line reflecting the failure characteristics becomes smoother.

       

    /

    返回文章
    返回