基于能量法的海洋黏土循环破坏准则试验研究

    Experimental investigation on cyclic failure criteria for marine clay based on energy method

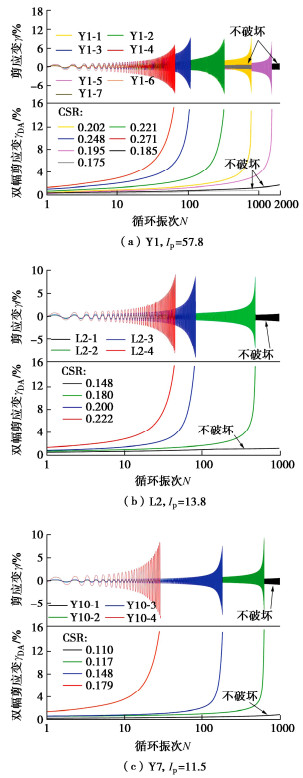
    • 摘要: 海洋黏土循环强度的合理确定对确保海洋结构物全寿命服役期的稳定性有重要意义。针对不同塑性指数IP长江口原状海洋黏土,开展了不同循环应力比CSR条件下的常体积循环单剪试验,结合能量法探究了原状海洋黏土的循环破坏准则。研究结果表明:原状海洋黏土存在门槛循环应力比CSRth,当CSR < CSRth时,单圈能量耗散Wi只在较小范围内线性发展,土体不会发生循环破坏;当CSR > CSRth时,Wi随循环振次N的发展曲线因土体结构的严重破坏而出现突变点,并以该点作为破坏点确定了破坏振次Nf和破坏双幅剪应变 \gamma _\textDA,f ;长江口原状海洋黏土的CSRthIP增大增长呈现幂函数关系。随着CSR和IP的增大,Wi和 \gamma _\textDA,f 均逐渐增大,Nf逐渐减小。 \gamma _\textDA,f /IP1.5 -CSR-CSRth的数据点分布在一条较窄的范围内,且 \gamma _\textDA,f /IP1.5随CSR-CSRth增长服从线性函数关系,提出了适用于不同海域原状海洋黏土 \gamma _\textDA,f 的评价方法。

       

      Abstract: The reasonable determination of the cyclic strength of marine clay is critical for ensuring the stability of marine structures throughout their service life. In order to study the cyclic failure criteria for the marine clay, a series of constant-volume cyclic direct simple shear tests are performed on the undisturbed saturated marine clay in the Yangtze River Estuary with different plasticity indexes (IP) under different cyclic stress ratios (CSRs). The cyclic responses of the marine clay specimens are presented. The cyclic failure criteria are investigated by employing the energy method. The results indicate that there is a threshold cyclic stress ratio (CSRth) in the undisturbed marine clay. When the CSR is smaller than the CSRth, the energy dissipation per cycle (Wi) develops linearly only within a limited range that does not contribute to the cyclic failure of marine clay. However, when the CSR exceeds the CSRth, the development curve of Wi with the number of cycles (N) shows an inflection point due to the serious damage of the soil structures. This point serves as the critical point for cyclic failure to determine the number of cycles to failure (Nf) and the double-amplitude shear strain to failure ( \gamma _\textDA,f ). The CSRth of the marine clay in the Yangtze River Estuary exhibits a power function relationship with the increasing IP. Additionally, with the increasing CSR and IP, both Wi and \gamma _\textDA,f tend to increase, while the Nf gradually decreases. Furthermore, the data points of \gamma _\textDA,f /IP1.5 ~ CSR-CSRth for all the tests are distributed in a narrow band, and a virtually positive linear relationship exists between the \gamma _\textDA,f /IP1.5and CSR-CSRth. Finally, a \gamma _\textDA,f evaluation method applicable to the marine clay in different seas is proposed for practical geotechnical engineering.

       

    /

    返回文章
    返回