软黏土基坑开挖诱发坑外地表沉降的时效解

    Time-dependent solution for ground settlement induced by excavation in soft clay

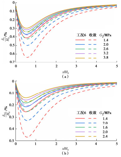
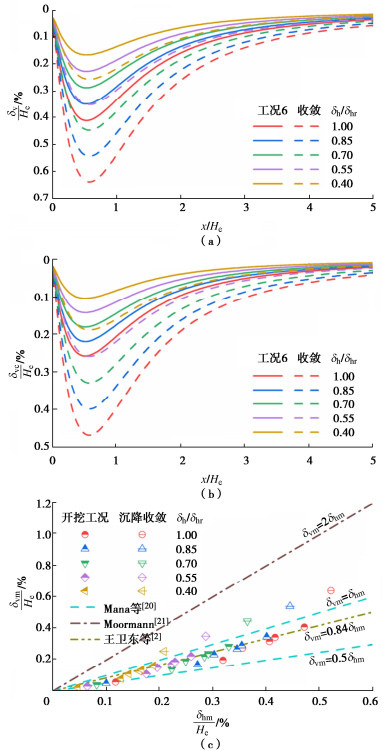
    • 摘要: 对比理论和实测研究成果,发现既有坑外地表沉降计算方法不适用于蠕变效应显著的软土基坑。借助Lame方程和三参量黏弹性地基模型,推导得到柔性挡墙任意变位诱发坑外地表沉降的时效半解析解;将理论计算方法应用于杭州软土地区的两个深基坑工程实例,分析了从基坑开挖到地下室回筑的施工全过程中坑外地表沉降的发展规律。结果表明:①软土蠕变诱发不依赖于挡墙附加侧移的地表沉降,不仅导致软土基坑开挖期间的地表最大沉降与挡墙最大侧移之比远大于非软土基坑,而且引起坑外土体在地下室回筑期的持续沉降;②软土蠕变诱发的地表沉降随挡墙侧移的增大而增大,表现为凹槽沉降模式;③深厚软土深基坑的地表最大沉降与挡墙最大侧移之比主要受软土蠕变性和施工时间等因素的影响,与挡墙侧移量的关系不明显。

       

      Abstract: By comparing the theoretical and measured results, it is observed that the current methods need to be revised in predicting the ground settlements induced by excavations in soft clay with a significant creep effect. Using the Lame equation and three-parameter viscoelastic foundation model, a time-dependent semi-analytical solution is derived for the ground settlements induced by arbitrary wall deflections. The solution is implemented in two excavations in Hangzhou soft clay, in which the development rules of the ground settlements from the soil excavation to basement construction are analyzed. The results indicate that: (1) The soft soil creep induces the ground settlements independently of the extra wall deflections, leading to a higher ratio of the maximum ground settlement to the maximum wall deflection during soil excavation compared to an excavation in non-soft clay. Furthermore, it results in continuous ground settlements during basement construction. (2) The ground settlements induced by the soft soil creep increase with wall deflections, showing the concave settlement mode. (3) The ratio of the maximum ground settlement to the maximum wall deflection of deep excavations in soft clay is primarily influenced by the creep characteristics of soft soil and construction duration, which appear unaffected by the wall deflections.

       

    /

    返回文章
    返回