复杂应力作用的黄土动剪切破坏强度研究

    Dynamic shear failure strength of loess under complex stress

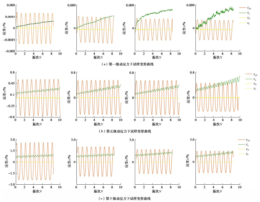
    • 摘要: 针对复杂静应力条件下黄土的动力特性,利用空心圆柱试样扭剪试验,模拟静力真三轴固结应力状态以及动扭转剪切的路径,以复杂静应力条件下主应力轴旋转变化的动扭剪切试验手段,通过西安原状黄土真三轴固结动扭剪试验,揭示了不同中主应力比偏压固结和均压固结条件下黄土的动剪切强度和强度破坏变化规律,分析了不同中主应力比偏压固结和均压固结条件下黄土动剪应力动剪应变骨干曲线,动剪切破坏强度与法向正应力和平均球应力之间的关系,以及动剪切模量随动剪应变的衰减变化关系以及动剪切强度与法向正应力和平均球应力之间的关系。

       

      Abstract: The undisturbed loess is significantly vulnerable to structural and dynamic damages. The earthquake-induced dynamic shear can destroy the original structure of the loess, causing soil particles to rearrange and compact, which macroscopically appears as seismic deformation. The dynamic torsional shear tests on Xi'an loess under different water contents and confining pressures are conducted to analyze the axial deformation. The factors such as dynamic shear stress amplitude, vibration frequency, water content and consolidation pressure are found to influence the seismic subsidence of the loess. An empirical formula is established to calculate the seismic subsidence deformation of loess, showing that the deformation increases with dynamic shear stress but at a decreasing rate. The water content and confining pressure are the crucial factors. The deformation increases with the water content and decreases with the higher confining pressure. The formula can be used to predict the seismic deformation of loess foundations.

       

    /

    返回文章
    返回