二阶Stokes波作用下多孔弹性海床动力响应解析解

    Analytical solutions for dynamic response in poroelastic seabed under second-order Stokes waves

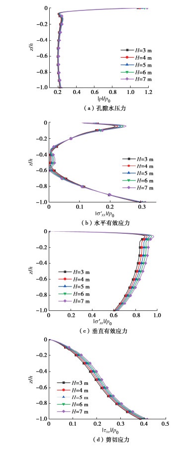
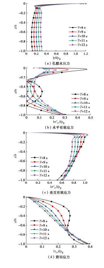
    • 摘要: 基于二阶Stokes波理论,研究了非线性海洋波作用下多孔弹性海床的动力响应问题。利用Biot固结理论以及Verruijt储存方程,在笛卡尔坐标下建立了海床的控制方程。通过将海洋波函数拓展到复数域,采用严格的数学推导求得了海床动力响应的解析解,并将该解与既有解进行对比验证。最后分析了波浪和海床特征参数对海床有效应力、剪切应力和孔压分布的影响,结果表明波浪和海床的参数对海床动力响应具有显著的影响。其中波浪周期和水深对二阶Stokes波的二阶项有较大影响,渗透系数和剪切模量则分别影响海床动力响应的变化速率和幅值。

       

      Abstract: Based on the theory of the second-order Stokes waves, the dynamic response of a poroelastic seabed induced by nonlinear ocean waves is investigated. The governing equations for the seabed are established in Cartesian coordinates using the Biot's general consolidation theory and the Verruijt's storage equation. The analytical solutions for the dynamic response of the seabed are obtained by extending the ocean wave function and the field quantities in the seabed to the complex domain using a rigorous mathematical derivation. The correctness and reliability of the analytical solutions are verified by comparing with the existing solutions. Finally, the effects of the characteristic parameters of the waves and seabed on the vertical effective stress, horizontal effective stress, shear stress and pore pressure distribution of the seabed are analyzed. The results show that the characteristic parameters of the waves and seabed have a significant effect on the dynamic response of the seabed. The wave period and water depth have a significant impact on the second-order term of the nonlinear waves, while the permeability and shear modulus respectively affect the rate of change and amplitude.

       

    /

    返回文章
    返回