基于颗粒分布分形模型毛细水上升高度计算分析

    Calculation of rising height of capillary water based on fractal model for grain-size distribution

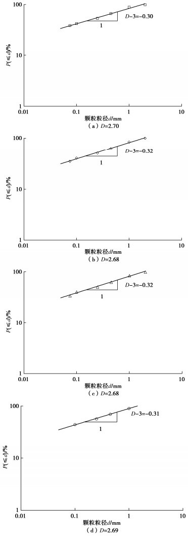
    • 摘要: 由表面张力引起的弯液面两侧压力差推动毛细水上升,造成低路堤路基产生毛细水病害,毛细水上升高度是防治路基毛细水病害的关键所在。克服了毛细水上升高度测量试验的缺陷,基于土粒分布的分形模型,提出毛细水上升高度的计算方法。采用筛分试验计算粉土颗粒分布分维,建立粉土颗粒级配的分形模型,系统地分析分维、进气值、孔隙率、毛细水最大上升高度和饱和渗透系数对毛细水上升高度和速度的影响。计算结果表明:毛细水上升高度与时间呈幂函数正相关关系,毛细水上升高度随颗粒分布分维、进气值、毛细水最大上升高度和饱和渗透系数增大而增大,随孔隙率增大而减小;毛细水上升速度只与颗粒分布的分维有关,随颗粒分布分维增大而增大,不受进气值、孔隙率、毛细水最大上升高度和饱和渗透系数的影响。

       

      Abstract: The rising of capillary water, which is driven due to the pressure difference at both sides of the meniscus caused by surface tension, causes the phenomenon of mud boiling and mud seepage in the silt roadbed. The rising height of the capillary water is the key to preventing and controlling the mud boiling and mud seepage in the roadbed. A method for calculating the rising height of the capillary water based on the grain-size distribution is proposed, which overcomes the test defects in measuring the height of the capillary water. By using the sieving tests to calculated the grain-size distribution and fractal of silt, a fractal model is established to analyze the effects of the fractal dimension, air-entry value, porosity, the maximum rising height of the capillary water and saturated permeability coefficient on the rising height and velocity of the capillary water. The calculated results show that the rising height of the capillary water is positively correlated with the time as a power function, increases with the fractal dimension, air-entry value, the maximum rising height of the capillary water and saturated permeability coefficient, and decreases with the porosity. The rising speed of the capillary water is only related to the fractal dimension of the grain-size distribution and increases with the increase of the fractal dimension of the grain-size distribution but not related to the porosity, air-entry value and the saturated permeability coefficient.

       

    /

    返回文章
    返回