非线性软化Cosserat连续体模型及其在土体应变局部化有限元分析中的应用

    Nonlinear softening Cosserat continuum model and its application in finite element analysis for strain localization of soils

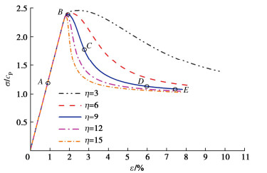
    • 摘要: 完善了土体非线性应变软化公式,并将其引入到Cosserat连续体DP-MC屈服准则中,推导了本构方程积分的返回映射算法和弹塑性切线模量矩阵。利用有限元软件ABAQUS提供的用户自定义单元子程序接口(UEL)对考虑非线性软化的Cosserat连续体DP-MC本构模型进行了数值实现,并与平面应变试验进行了数值对比验证。结果表明,考虑非线性软化的Cossrrat连续体模型,能够有效克服经典有限元在分析土体由应变软化引起的应变局部化问题时病态的网格依赖性,同时,还能够在一定程度上反映土体剪切带内材料点旋转的细观效应。进一步地,通过对平面应变压缩算例的模拟发现软化系数ω和形状参数η均对土体强度有重要影响。

       

      Abstract: An innovative approach is introduced to enhance the original soil nonlinear strain softening formula proposed by Ma et al. This formula is incorporated into the DP-MC yield criterion in the framework of Cosserat continuum, and the corresponding return mapping algorithm and consistent elastic-plastic tangent modulus matrix for the integration of constitutive equation are derived. The numerical implementation is realized through the user-defined element subroutine interface (UEL) in the ABAQUS finite element software. The proposed nonlinear softening DP-MC constitutive model for the Cosserat continuum is validated through the numerical modelling of the plane strain tests. The results demonstrate that the proposed model can effectively overcome the mesh-dependent issues of the classical finite element analysis for strain localization due to strain softening in soils. The model also captures the microscopic effects of particle rotation within the shear band. Additionally, the simulation for the plane compression tests highlights the significant impact of the softening coefficient ω and shape parameter η on the strength of soils.

       

    /

    返回文章
    返回