考虑饱和砂土液化阶段性特征的触变性流体本构模型

    Constitutive model for thixotropic fluid considering phase characteristics of liquefaction of saturated sand

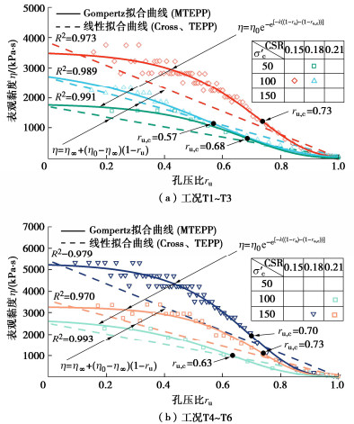
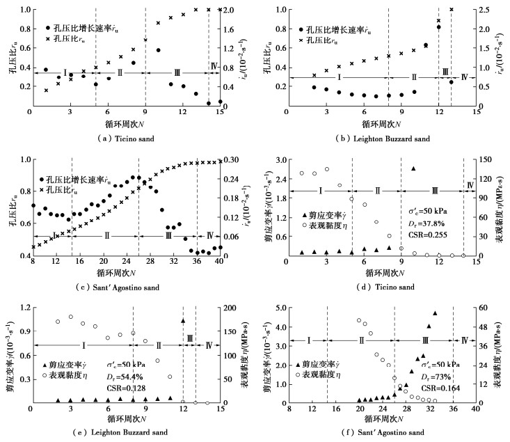
    • 摘要: 合理评价循环荷载作用下饱和砂土的液化过程及性质演变规律,是解决液化砂土大变形问题的关键。通过饱和砂土不排水循环三轴试验,分析了饱和中密南京细砂液化阶段性特征,引入Gompertz函数来描述表观黏度与孔压比之间的关系,提出了一种修正的孔压触变性流体模型,并验证了模型的合理性。①饱和砂土液化过程具有明显的阶段性特征,根据孔压比增长速率可分为固态土体阶段、固液相变阶段、触变性流体阶段和稳定性流体阶段,并基于其他学者的试验结果验证了四阶段特性及阶段划分方法的适用性。②采用Gompertz函数代替线性函数来描述表观黏度与孔压比之间的关系,并利用不同的破坏速率参数c来表征循环荷载作用下饱和砂土的不同阶段,提出了考虑液化阶段性特征的修正孔压触变性流体模型,为解决地震液化问题提供了一种新的统一方法。

       

      Abstract: Reasonable evaluation of the property evolution of saturated sand during liquefaction and the dynamic response under cyclic loading is the key to solve the problem of large deformation of liquefied sand. Through the undrained cyclic triaxial tests on saturated sand, the dynamic response of saturated medium-density Nanjing fine sand during liquefaction process is analyzed, and its stage characteristics are discussed. The Gompertz function is introduced to describe the relationship between apparent viscosity and pore pressure ratio, and an improved thixotropic pore pressure fluid model is proposed. The main conclusions are as follows : (1) According to the growth rate of pore pressure ratio, the liquefaction process is divided into four stages: solid stage, solid-fluid stage, thixotropic fluid stage and stable stage. (2) The relationship between apparent viscosity and pore pressure ratio is described by using the Gompertz function instead of the linear function. A modified thixotropic pore pressure fluid model considering stage characteristics is proposed, which provides a new unified method for solving seismic liquefaction problems.

       

    /

    返回文章
    返回