高放废物处置库二维轴对称温度场模型构建及应用研究

    Establishment and application of two-dimensional axisymmetric temperature field model for high-level radioactive waste disposal repository

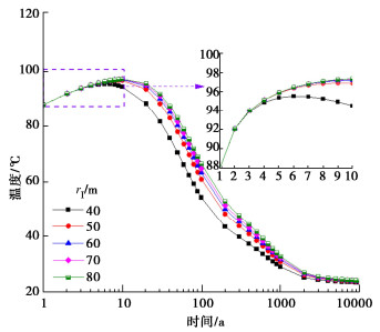
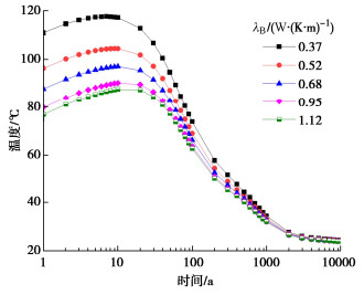
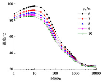
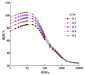
    • 摘要: 高放废物处置库温度场长期演化特征是处置库缓冲层安全性能评估和设计、处置容器空间优化布局的重要依据之一。建立了处置单元二维轴对称双层热分析模型,以揭示处置库多重屏障系统近场温度演化规律。对传热控制方程应用拉普拉斯和有限傅里叶正弦变换,得到缓冲层和围岩层温度的拉普拉斯域解,借助Crump方法对拉普拉斯域解进行数值反演获得对应的时域解;通过与线热源解和数值解的对比验证了模型的正确性,分析了处置单元近场多屏障系统温度场的时空分布特征,探讨了不同参数对缓冲层峰值温度的影响;借助模型半解析解确定最小处置容器间距以及对原位试验结果进行预测。结果表明:①与线热源解相比,模型半解析解可以更准确地模拟缓冲层温度变化;②当处置隧道间距超过40 m时,其对缓冲层峰值温度影响较小;③在处置隧道间距取40 m时,最小处置容器间距为7.7 m;④模型半解析解可以较好地预测原位试验结果。

       

      Abstract: The long-term evolution of temperature field in high-level radioactive waste disposal repository is one of the important bases for the safety evaluation and design of buffer layer and the spatial optimization of disposal container. A two-dimensional axisymmetric thermal analysis model with two layers of disposal unit is established to reveal the near-field temperature evolution of multi-barrier system. The Laplace and finite Fourier sine transforms are applied to the governing equations for heat transfer to obtain the temperature solutions to the buffer layer and the surrounding rock layer in the Laplace domain. The corresponding solutions in time domain are obtained by numerical inversion of the Laplace domain solutions with the help of the Crump method. The correctness of the model is verified by comparing with the linear heat source solution and the numerical solution. The temporal and spatial distribution characteristics of the temperature field in the near-field multi-barrier system of the disposal unit are analyzed, and the effects of different parameters on the peak temperature of the buffer layer are discussed. The semi-analytical solution of the model is used to determine the minimum disposal container spacing and predict the results of the in-situ tests. The results show that the semi-analytical solution of the model can simulate the temperature change of buffer layer more accurately by comparing with the linear heat source solution. When the tunnel spacing exceeds 40 m, it has small effects on the peak temperature of buffer layer. When the tunnel spacing is 40 m, the container spacing is 7.7 m. The semi-analytical solution of the model can well predict the results of the in-situ test.

       

    /

    返回文章
    返回