基于物质点-特征有限元耦合方法的向后侵蚀管涌模拟

    Simulation of backward erosion piping based on coupled material point-characteristic finite element method

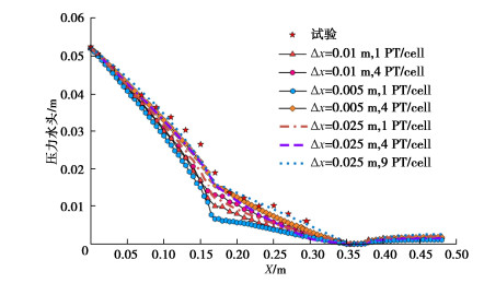
    • 摘要: 向后侵蚀管涌是汛期堤坝中一种常见的渗透破坏形式,多发生在下游存在无保护出水口的二元结构堤基中。由于土体渗流在出水口处存在较高的水力梯度,使得固、液界面附近的土体极易被侵蚀带走,一旦侵蚀土体的上层存在不透水的黏土层时,便会形成不断向上游迎水侧发展的管涌通道,最终导致堤坝出现失稳破坏。基于向后侵蚀管涌的发展过程,采用局部水力梯度作为管涌发展的判别准则,结合饱和孔隙介质的耦合物质点-特征有限元法,发展了一个能够模拟向后侵蚀管涌的新方法。新方法将求解域内的物质点分为3种粒子类型,对满足管涌触发条件的粒子进行删除,以此表示被侵蚀带走的土颗粒。由于算法中的流体部分采用了广义的Navier-Stokes方程进行描述,因此新方法能够同时计算孔隙水渗流和管道流体的自由流动。通过对小尺度模型试验的计算,验证了新方法在向后侵蚀管涌问题中的适用性。

       

      Abstract: The backward erosion piping is a common form of seepage failure in embankments during flood seasons, and it mostly occurs in the dual-structure foundations with unprotected outlet downstream. Due to the high hydraulic gradient of the soil seepage at the water outlet, the soil near the solid-liquid interface is easy to be eroded away. Once there is an impervious clay layer on the upper layer of the eroded soil, a piping channel will be formed to continuously develop to the upstream side, and eventually lead to the instability and failure of the embankment. Based on the coupled material point - characteristic finite element method, a novel modeling approach for the backward erosion piping is developed by employing the local hydraulic gradient as the triggering criterion of piping. The novel approach divides the particles within the solution domain into three types, and deletes the particles that meet the triggering conditions of piping to represent the granular taken away by erosion. Since the fluid phase is described by the generalized Navier-Stokes equation, the proposed approach can simultaneously calculate the seepage of pore water and the free flow of piping channel. Finally, the small-scale erosion experiments are provided to perform the applicability of the proposed approach.

       

    /

    返回文章
    返回