基于颗粒破碎耗能的堆石料流变模型

    Creep model for rockfill materials based on particle breakage energy consumption

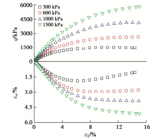
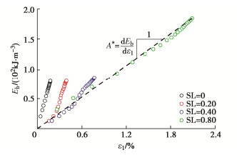
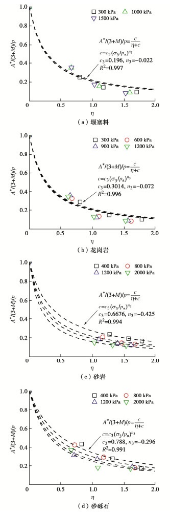
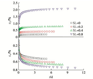
    • 摘要: 由于堆石料流变的复杂性,现有的经验流变模型主要是根据流变试验结果,考虑围压和剪应力或其耦合效应的影响所建立,存在一定的随意性且存在参数多和物理意义不明确等问题。开展了红石岩堰塞料三轴压缩试验和流变变形试验,分析了流变过程中应变能与围压和应力水平的相关关系,得到了流变应变能的表达式;基于考虑颗粒破碎耗能的ROWE剪胀方程和流变过程中切线体积比保持不变的推论,推导得到了最终体积流变和剪切流变的表达式,所建立的模型可反映堆石料流变变形的机理。花岗岩堆石料、砂岩堆石料和砂砾料等其它堆石料的分析结果表明,提出的流变变形计算模型具有普适性。

       

      Abstract: Due to the complex rheological characteristics of rockfill materials, the existing empirical creep models have problems such as unclear meaning and too many parameters. Based on the remediation project of Hongshiyan landslide dam, the mechanical properties of landslide dam materials are tested. The correlation between the creep strain energy and the compression pressure and stress level in the creep process is analyzed, and the expression for the creep strain energy is obtained. Based on the ROWE stress dilatancy relationship considering the energy dissipation of particle breakage and the inference that the tangential volume ratio remains constant in the creep process, the expressions for the final volumetric strain and deviatoric strain are derived, and the established model can reflect the mechanism of creep deformation of rockfill materials. The analysis results of other rockfill materials such as granite rockfill, breccia rockfill and sand gravel show that the proposed creep model is universal.

       

    /

    返回文章
    返回