基于柱孔收缩理论的含气土盾构施工引起地表沉降研究

    Surface settlements caused by shield construction of gas-bearing soils based on column hole shrinkage theory

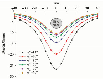
    • 摘要: 依托杭州地铁塘青线盾构穿越含气地层的实际工程,对柱孔收缩理论进行修正,首次提出基于柱孔收缩理论的含气地层盾构施工引起地表沉降理论计算公式,并结合实际工程参数,分析隧道埋深、开挖半径、基质吸力等因素对含气地层盾构施工引起地表沉降的影响。研究表明:柱孔收缩理论计算结果与实测数据较为吻合,能较好地反映出含气地层盾构掘进引起的地表沉降特征;与饱和土工程不同,双线盾构穿越含气地层时,先行线引起的地表沉降更大;含气土等非饱和土中基质吸力通过改变土体内摩擦角和黏聚力进而影响土体特性,但较之于土体黏聚力,土体内摩擦角的变化对盾构穿越含气地层引起地表沉降的影响更大。

       

      Abstract: Relying on the actual project of Hangzhou Metro Tangqing Line shield crossing the gas-bearing stratum, the column hole shrinkage theory is modified, and the formula for calculating the surface settlement caused by the construction of the shield structure of the gas-bearing stratum based on the column hole shrinkage theory is proposed for the first time, and the influences of burial depth of tunnel, excavation radius, matrix suction on the surface settlement caused by the construction of the shield of the gas-bearing stratum are analyzed based on the actual engineering parameters. The results show that the calculated results of the column hole shrinkage theory are in good agreement with the measured data, which can better reflect the surface settlement characteristics caused by shield excavation in gas-bearing strata. Different from that in saturated soils, when the double-line shield passes through the gas-bearing stratum, the surface settlement caused by the leading line is greater. The matrix suction in unsaturated soils such as gas-bearing soils affects the soil characteristics by changing the friction angle and cohesion in the soil, but compared with that of the cohesion of the soil, the change of friction angle of the soil has a greater impact on the surface settlement caused by the shield crossing the gas-bearing strata.

       

    /

    返回文章
    返回