氧化还原电位对污染土固化体中砷浸出行为的影响

    Influences of redox potential on leaching behaviors of arsenic from a solidified contaminated soil

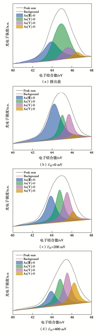
    • 摘要: 砷(As)的价态和迁移性与氧化还原电位(EH)密切相关,固化/稳定化后的As污染土处于复杂的氧化还原环境中,EH的变化可能导致固化体中As浸出风险增加,目前对EH变化情况下固化体中As浸出行为的研究尚不多见。通过半动态浸出试验研究了稳定化/固化修复后的高浓度As(Ⅲ)污染土在不同氧化还原条件下的As浸出行为,通过X射线衍射图谱(XRD)和X射线光电子能谱(XPS)研究了浸出试验前后土中矿物成分和As价态的变化,揭示了相关机理。结果表明,浸出液中As的浸出总量与浸提液EH密切相关,浸提液EH越低,As浸出浓度越高;当浸提液EH为0 mV时,As的扩散系数达到3.11×10−13 m2/s,可浸出指数达到了8.72,表明修复后的高浓度As(Ⅲ)污染土不适合在强还原性环境中堆放和再利用;XRD分析表明,随着浸提液EH降低,土中的铁氧化物/氢氧化物发生还原溶解,进一步导致As的解吸附;XPS分析表明,随着浸提液EH降低,土中的As(Ⅴ)被还原为高迁移性的As(Ⅲ),从而增加了As的潜在移动风险。该研究为高浓度As(Ⅲ)污染土的长期安全处置提供了科学依据。

       

      Abstract: The valence state and mobility of arsenic (As) are closely related to redox potential (EH). Changes in EH may lead to an increasing mobility risk of As in the stabilized/solidified soils when exposed to complex redox environments. At present, the influences of EH on the leaching behaviors of As from the solidified soils have received few attention. In this study, the semi-dynamic leaching tests under different EH are carried out to investigate the leaching behaviors of As from a stabilized/solidified heavily As(Ⅲ)-contaminated soil. The X-ray diffraction (XRD) and X-ray photoelectron spectroscopy (XPS) are performed to study the changes of mineral composition and the valence state of As. The results show that the total leached As in the leachate is closely related to EH of the leachant. The leached As concentration increases with a decrease in EH. When EH of the leachant is 0 mV, the diffusion coefficient of As reaches 3.11×10−13 m2/s, and its leachability index reaches 8.72, indicating that the treated heavily As(Ⅲ)-contaminated soil is not suitable for stacking and reuse under a strong reducing condition. The XRD analysis shows that as the leaching EH decreases, the reductive dissolution of iron oxides/hydroxides occurrs, which leads to the desorption of As. The XPS investigations indicate that as the leaching EH decreases, As(Ⅴ) in the soil is reduced to highly mobile As(Ⅲ), and the potential mobility risk of As increases. This study provides a scientific basis for the long-term safe disposal of heavily As(Ⅲ)-contaminated soils.

       

    /

    返回文章
    返回