盐渍土在蒸发过程中的水盐相变行为研究

    Water-salt phase transition of saline soils during evaporation

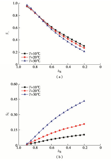
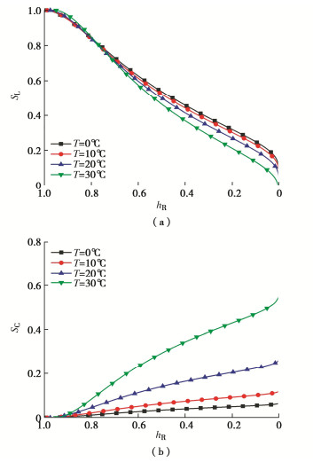
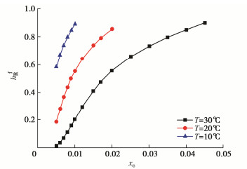
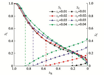
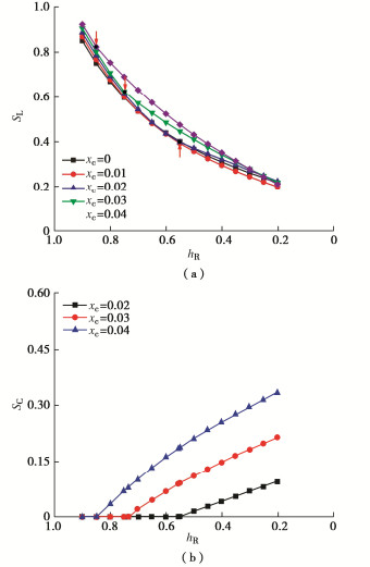
    • 摘要: 伴随蒸发过程,盐渍土孔隙内的溶液会产生汽化及结晶现象,且两种不同的相变间存在相互依赖性。为了揭示蒸发过程中的水盐相变特性,对盐渍土在蒸发过程中的汽化和盐结晶行为进行了理论和试验研究。首先,从热力学理论出发,通过考虑相间化学势平衡和Young-Laplace方程给出了起始结晶半径的理论表达,并分析了起始结晶半径与温度和相对湿度的关系。结合Van Genuchten土水特征曲线模型,建立了孔隙溶液浓度在不同状态下盐的溶解-结晶模型,并分析了温度和初始含盐量对盐结晶行为的影响规律。最后,通过开展控制温度和初始含盐量的蒸发试验结果对理论模型进行了验证。结果表明:环境湿度降低的过程中,土体温度以及初始含盐量对孔隙溶液中的水分和盐分相变有着显著的影响,土体温度越高,孔隙溶液中水分蒸发越快,液相最终饱和度越低;随着初始含盐量的增加,液相最终饱和度下降,盐晶体体积比增加。初始含盐量还会改变盐的盐析湿度,并且盐晶体的产生会抑制水分的蒸发。

       

      Abstract: Along with the evaporation process, the solution in the pores of the saline soils will be vaporized and crystallized, and the two different phase transitions are interdependent. In order to reveal the water-salt phase change characteristics during evaporation, the vaporization and salt crystallization behaviors of the saline soils during evaporation are studied theoretically and experimentally. Firstly, starting with the thermodynamic theory, the theoretical expression for the initial crystallization radius is given by considering the interphase chemical potential balance and Young-Laplace equation, and the relationship among the initial crystallization radius, temperature and relative humidity is analyzed. Combined with the Van Genuchten soil-water characteristic curve model, the salt dissolving-crystallization model under different states of pore solution concentration is established, and the influences of temperature and initial salt content on the salt-crystallization behavior are analyzed. Finally, the theoretical model is verified by the evaporation experiments with controlled temperature and initial salt content. The results show that the soil temperature and initial salt content have significant effects on the phase transition of water and salt in the pore solution during the process of ambient humidity reduction. When the soil temperature is higher, the water evaporation becomes faster and the liquid phase saturation is lower. With the increase of the initial salt content, the final liquid phase saturation decreases and the salt crystal volume ratio increases. The initial salt content also changes the humidity of salting out, and the generation of salt crystals will inhibit the evaporation of water.

       

    /

    返回文章
    返回