考虑上覆压力影响的现场液化试验研究

    In-situ liquefaction tests considering effects of overburden pressure

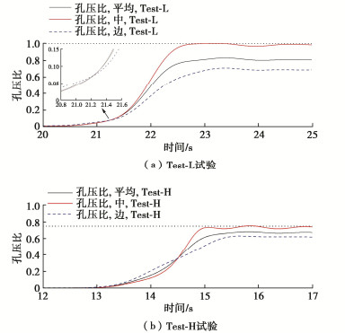
    • 摘要: 现场液化试验,是近些年国际上发展的一种研究土壤液化的新方法。目前已开展的现场液化试验,可液化土的上覆压力基本在20 kPa以下,与真实场地存在差距,使得以此研究液化问题的价值大打折扣。基于“多工况、可重复、易操作、低成本”的设想,提出一套可考虑上覆压力影响的现场液化试验技术,设计完成2次不同上覆压力(25,50 kPa)的饱和砂、干砂对比试验,分析其动力响应规律及特征,并与已有认识对比,验证试验技术的可靠性。研究表明:①新提出的试验孔压比这一概念,可作为评价考虑上覆压力影响的现场液化试验是否成功的基本指标;②在低上覆压力水平(0~50 kPa)下,大致对应真实场地0~5 m的埋深,上覆压力是影响土壤液化响应的敏感因素,应需重视;③当饱和砂的体应变在0.1%~1%时,孔压迅速且大幅度发展。当孔压比发展到0.6左右时,同等工况下的干砂、饱和砂的地表沉降响应出现差异。本文研究成果,为1g重力环境下,以更接近真实场地的模拟条件开展土壤液化问题研究,提供一种可能的新手段。

       

      Abstract: The in-situ liquefaction test is a new and exploratory research approach for soil liquefaction in geotechnical engineering in recent years. At present, in the in-situ liquefaction tests by the previous researchers, the overburden pressure of the liquefiable soil is commonly below 20 kPa, which certainly differs from the real conditions in the field. This limitation extremely makes the investigations on soil liquefaction unreliable through these in-situ tests. Based on the basic idea of multiple cases, feasibility, repeatability and low cost, a new in-situ liquefaction test method is proposed to account for the effects of overburden pressure on soil liquefaction. Taking the dry sands as a reference, two cases of liquefaction tests under the overburden pressures of 25 and 50 kPa, respectively, are carried out. Based on the current understandings of soil liquefaction, the dynamic responses and characteristics obtained in the tests are analyzed and used to verify that the proposed test method is credible and reliable. The main points are as follows: (1) A new concept of testing pore pressure ratio is proposed to preliminarily evaluate the results of an in-situ liquefaction test considering the effects of overburden pressure. (2) Under the low-stress level of overburden pressure (0~50 kPa), approximately buried at a depth of 0~5 m in the field, it should be emphasized that the overburden pressure is a sensitive factor to affect the dynamic responses of soil liquefaction. (3) When the induced volumetric strain of saturated sand is in a range of 0.1%~1%, the residual pore pressure increases rapidly. When the residual pore pressure ratio reaches 0.6, the ground surface settlement response of a dry sand site differs from that of a saturated soil site under the identical experimental conditions. The results can provide a new alternative to soil liquefaction research in which the experimental conditions are closer to the real field, in the 1g gravity environments.

       

    /

    返回文章
    返回